Na rozdíl od izotropního materiálu má ortotropní materiál preferované směry pevnosti, které jsou vzájemně kolmé. Vlastnosti podél těchto směrů (směrů os nebo hlavních směrů) jsou extrémní hodnoty elastických koeficientů.
Matice [D] pro ortotropní materiál zahrnuje devět nezávislých elastických vlastností. Navíc obsahuje tři vlastnosti pro tepelnou roztažnost.
Ortotropní 2D vztahy napětí a namáhání
Ve dvou rozměrech mohou být ortotropní vztahy napětí a namáhání včetně teplotních účinků zapsány následovně:

Uvědomte si, že pokud chcete zachovat souměrnost v matici modulu pružnosti, musí platit νxy Ey = νyx Ex.
Je třeba splnit dříve zmíněnou podmínku symetrie, když zadáte číselné hodnoty pro buď modul pružnosti, nebo Poissonovu konstantu.
Navíc pokud nezadáte číselnou hodnotu modulu pružnosti ve smyku, program ji spočítá podle obrázku níže:

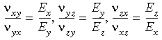
Ve třech rozměrech podmínky ortotropní symetrie vyžadují:
Když zadáte vlastnosti ortotropního materiálu ve třech rozměrech, musíte se následně ujistit, že nebyly narušeny výše uvedené podmínky symetrie.
Pokud zadáte číselné hodnoty pro modul pružnosti ve smyku (Gxy, Gyz a Gxz), program použije tyto uživatelem určené hodnoty (i když nejsou kompatibilní s podmínkami ortotropní symetrie).
Uvědomte si, že pokud nezadáte číselnou hodnoty modulu pružnosti ve smyku, program je spočítá pomocí následujícího vztahu:
Pokud Ex = Ey = Ez, program interně spočítá modul pružnosti ve smyku, i když je explicitně určený.
Pro Poissonovy konstanty, které nejsou explicitně určeny, program automaticky použije hodnotu 0,0.