ソリッド メッシュ - 六面体 PropertyManager

六面体メッシュ タイプは、非直交六面体要素を使用してドメイン内を満たします。

ソリッド メッシュ - 六面体(Solid Mesh - Hexahedral) PropertyManager を開くには:

  1. ソリッド(Solid)解析処理を使用して Plastics スタディを作成します。
  2. PlasticsManager で、ソリッド メッシュ(Solid Mesh) を右クリックし、メッシュ タイプ(Mesh Type)には六面体(Hexahedral)を選択します。次のいずれかのアクションを行います。
    1. PlasticsManager ソリッド メッシュ(Solid Mesh) を右クリックして、メッシュ作成(Create Mesh) をクリックします。
    2. Plastics CommandManager で、メッシュ作成(Create Mesh) をクリックします。

ソリッド メッシュ - 六面体

最大要素サイズ(Maximum Element Size) 六面体要素の最大サイズを指定します(mm またはインチ)。
最小要素サイズ(Minimum Element Size) 六面体要素の最小サイズを指定します(mm またはインチ)。
  金型領域メッシュをアダプティブにリファインします アダプティブ リファインを適用して、金型領域のメッシュを粗くします。 デフォルト設定(このオプションは非アクティブ)では、金型領域に均一のボクセルのようなメッシュが作成されます。 一様メッシュでは、より正確な解が得られますが、計算時間が長くなります。
  作成 現在の設定でメッシュを作成し、グラフィック領域に表示します。 PropertyManager を終了する前に、作成(Create)をクリックしてメッシュを表示します。

作成(Create)は、現在のメッシュ設定を変更すると有効になります。

ソフトウェアがメッシュを作成する際に作成(Create)をクリックする必要はありません。 作成(Create)をクリックせずにOKをクリックして PropertyManager を終了すると、現在の設定で六面体メッシュが自動的に作成されます。
  細分割(Refine) 体積メッシュを部分的に緻密化します。 六面体メッシュ - サイズ設定を参照してください。
  断面クリップ設定 ソリッド メッシュを作成すると、断面クリップ設定が使用可能になります。

3 つのグローバル軸(X、Y、Z)に沿って 6 つのスライダーを調整し、メッシュ分割された部品の断面を作成して、内部要素を表示します。

表示をデフォルト設定に戻すには、リセット(Reset)を使用します。

六面体メッシュ - サイズ設定

この PropertyManager は、リファイン(Refine)ソリッド メッシュ - 六面体(Solid Mesh - Hexahedral) PropertyManager)をクリックするとアクティブになります。

ソフトウェアにより前処理ステップとして三角サーフェス メッシュが作成され、その後、部品ジオメトリではなくこのサーフェス メッシュに基づいて六面体メッシュが作成されます。 メッシュ サイズを特定のサーフェス メッシュ節点に割り当てることで、メッシュを部分的に緻密化します。 ボリューム メッシュは、選択した領域の調整パターンをトレースします。

  エレメントを選択

表示

サーフェス ジオメトリに表示されている節点のみを選択します。

貫通

部品体積を介してサーフェス ジオメトリ上の節点と内部節点を選択します

六面体セル サイズ(Hexahedral cell size) 選択した節点が定義する領域内のターゲット六面体要素サイズを指定します。
選択アイテム メッシュ リファインの領域を定義するサーフェス メッシュ節点を指定します。
  指定(Assign) 選択した節点が定義する領域に、指定された六面体要素サイズを割り当てます。
  削除(Delete) 選択項目(Selections)でハイライトされた節点を削除します。

ソリッド メッシュ品質

ソリッド メッシュ品質 メッシュ品質プロットを作成します。 次のいずれかのオプションを選択します:

アスペクト比

各要素のアスペクト比を示すメッシュ品質プロットを表示します。 最小値(Minimum Value)を増やすことで、品質が悪い要素を隔離できます。 アスペクト比は、要素の内接円に対する外接円の比率です。

ひずみ度

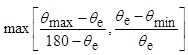
ひずみ度 =
  • θmax = 要素の最大角度
  • θmin = 要素の最小角度
  • θe = 60º (四面体要素)、90º (六面体要素)
各要素のひずみ度角度を示すメッシュ品質プロットを表示します。

ねじれ(Twist):

正方形面が 2 つの三角形に分割されます。 2 つの三角形からの法線ベクトルの角度がツイストの角度です。

最大値

プロットに表示されるメッシュ品質パラメータの最大値を指定します。

最小値

プロットに表示されるメッシュ品質パラメータの最小値を指定します。

サーフェス メッシュを展開 サーフェス メッシュの作成プロセスを再起動する必要がないように、既存のサーフェス メッシュ データを抽出して保存します。
  スキン六角の自動適用 六面体要素を追加することで、エッジ カーブの取り込み精度を向上させます。 カーブに接触していない要素が自動的に除去されます。