Kütlesel özelliklerin hesaplamaları ile ilgili öğeleri seçin, seçenekleri ayarlayın ve sonuçları görüntüleyin.
Kütlesel Özellikler iletişim kutusunu açmak için:
- Kütlesel Özellikler'e
(Araçlar araç çubuğu) veya 'e tıklayın.
|
Seçili öğeler
|
Hesaplamak veya kütlesel özellikler atamak istediğiniz öğeleri seçin. Öğeler eklediğinizde, sildiğinizde veya bunları değiştirdiğinizde, yeni değerleri görüntülemek için Yeniden hesapla'ya tıklayın. |
|
Seçenekler
|
Sonuçları farklı ölçü birimlerini kullanarak görüntüleme seçeneklerini belirleyebileceğiniz bir iletişim kutusu açar. Kütle/Kesit Özellik Seçenekleri İletişim Kutusu'na bakın. |
|
Kütlesel Özellikleri Geçersiz Kıl
|
Kütle, kütle merkezi ve atalet momenti değerlerini geçersiz kılabileceğiniz bir iletişim kutusu açar. Kütlesel Özellikleri Geçersiz Kıl İletişim Kutusu'na bakın. Bir montajda geçersiz kılınmış kütlesel özellikler varsa bu bileşenler Kütlesel Özellikler iletişim kutusunun alt kısmında listelenir.
|
|
Gizli gövdeleri/bileşenleri ekle
|
Gizli gövdeleri ve bileşenleri hesaplamaya dahil etmek için seçin. |
|
Kütle Merkezi unsuru oluştur
|
Modele bir Kütle Merkezi unsuru ekler. |
|
Koordinat değerleri raporlama ölçütü
|
Daha önce tanımladıysanız, bir koordinat sistemi seçin. |
|
Yazdır
|
Sonuçları doğrudan bu iletişim kutusundan yazdırır. |
|
Panoya Kopyala
|
Sonuçları panoya kopyalar. |
Belgeyi kaydettiğinizde, kütlesel özellikler bilgilerini güncelleyebilirsiniz. Kütlesel özelliklere bir dahaki erişiminizde sistemin bu değerleri yeniden hesaplaması gerekmeyeceği için (belge değiştirilmemişse), bu işlem sistem performansını artırır. Bu seçeneği ayarlamak için öğesine tıklayın ve Belgeyi kaydederken kütlesel özellikleri güncelle öğesini seçin.
Sonuçlar
Aşağıdaki kütlesel özellikleri listeler:
- Yoğunluk
- Mass
- Birim
- Yüzey alanı
- Kütle merkezi
- Atalet asal ekseni
- Atalet momentleri ve atalet ürünleri
Grafik alanında tek renkli bir triad, modelin asal eksenini ve kütle merkezini belirtir. Üç renkli bir referans 3D triad'ı orijinde görüntülenir.
Kütlesel özellikleri özel ve konfigürasyona özgü özellikleri tanımlarken kullanabilirsiniz. öğesine tıklayın. Özellikler iletişim kutusunda Özel sekmesini veya Konfigürasyon Özellikleri sekmesini seçin ve Değer / Metin İfadesi'nin altına tıklayarak kütlesel özellikleri içeren açılır bir listeye erişin.
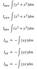
Atalet momenti ve çarpım atalet momenti aşağıdaki tanımlara uyması için hesaplanır:
 |
 |
| Pozitif tensör notasyonu |
Negatif tensör notasyonu |
Atalet tensör matrisi, atalet momentlerine göre aşağıdaki gibi tanımlanır:
 |
 |
| Pozitif tensör notasyonu |
Negatif tensör notasyonu |