접촉면 간의 복사 에너지 교환(면 접촉 복사)

이전 단원에서 언급한, 회색체와 주변 매체 간 복사에 의한 에너지 교환율 방정식은 방사 물체 둘레에 이를 둘러싼 큰 흑체(주변 매체로 표현)만 있다고 가정합니다. 따라서, 작은 방사 물체에서 발산되는 모든 에너지를 주변 매체가 흡수한다고 가정합니다.

두 방사 물체가 복사 에너지를 부분적으로 교환하는 경우, 복사 View Factor(F)가 고려되어야 합니다.

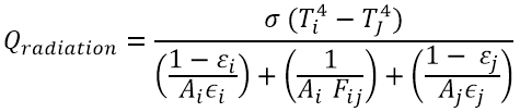
곡면 j에 대한 면 I의 복사 View Factor는 면 I에서 발산되는 총 에너지에 대한 면 I에서 방사되어 곡면 j에 바로 전달되는 에너지 비율로 정의됩니다. 이 정의 하에 면적이 AI이고 온도가 TI인 면과 면적이 Aj이고 온도가 Tj인 면 간의 순수 복사 열교환은 다음 방정식으로 도출됩니다.

여기에서:

Fij는 면 j에 대한 면 i의 View Factor이며

εi는 면 i의 복사율입니다.

σ는 슈테판볼츠만(Stefan-Boltzmann) 상수입니다.

두 곡면이 서로 다른 복사율 εi 및 εj를 가지고 있을 경우 곡면 간의 순수 복사 열교환은 다음 방정식으로 도출됩니다.