积分方法

以下积分方法用于无规则振动算例。

标准方法

用于无规则振动分析的标准方法如下:
  1. 在请求的每个自然模式周围选择频率点。 这些点的位置取决于偏置参数 p 的值。

    当偏置参数为 1.0 时,所有频率点都均匀分布在固有频率之间。当偏置参数大于 1.0 时,将选择更靠近固有频率的点。频率点和偏置参数的默认值是作为第一个模式的阻尼比率 ζ 的一个函数给出的。要获得频率点选择图例,请单击此处。

    频率点和偏置参数的默认值是 ζ 的一个函数,如下所示:

    模态阻尼比率 频率数(默认值) 偏置参数(默认值)
    ζ < 0.01 21 11
    0.01 < ζ < 0.1 21-4.34 ln(ζ /0.01) 11-3.47 ln(ζ /0.01)
    ζ > 0.1 11 3

    当同时为频率点数偏置参数定义了零 (0) 时,本软件将应用表 1 中给出的默认值。

  2. 在每个频率点处,评估响应的模态 psd。交叉模式切断率 (RATIO) 为所有可能的固有频率对的比率(wi / wj, i > j)设定了限制。

    这意味着对于 wi / wj > RATIO 的每对模式,交叉谱密度条件将被忽略。当 RATIO =1 时,将不会考虑交叉模式影响。

  3. 随后在指定的频率范围内以数字形式对模态 psd 进行积分,以得出模态响应的均方值和协方差。积分是基于对数的对数插值,利用高斯 2 阶或 3 阶积分在每个频率间隔内以数字方式进行的。均方响应通过求间隔基值的和而得出。
  4. 最后,从模态向节转换可以产生系统的 rms 位移、速度和加速度。

近似方法

由于需要对大型矩阵进行数字积分,标准积分方法将花费大量的计算时间。近似积分方法会作出以下假设来执行简化的求解:
  • 忽略交叉模式响应 Sx(ω)(即一个模式对另一个模式产生的影响)。

    (方程式 1)

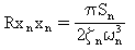
  • 激发的 psd 在每个模式周围被视为常量。这样,每个模式就被假定为将被具有谱密度 Sn 的“白噪音”激发,其中:

    (方程式 2)

    ωn 是模式 n (n = 1,2,...nf) 的固有频率。

    对于白噪音,可以通过分析手段为模态响应确定均方响应:

    (方程式 3)

    (方程式 4)

    (方程式 5)。