SOLIDWORKS Simulation 在内部将销钉接头表示为具有指定轴向或旋转刚度的横梁。 横梁的每个端点位于连接的圆柱面(或壳体边线)的重心处。
对于刚性连接类型,刚性杆元件将横梁端点连接到圆柱面节点。 连接到销钉接头的所有面在承载时都保持同轴并保持其原始形状。 这些圆柱面可根据销钉接头的轴向刚度和旋转刚度特性,作为刚性实体彼此相对运动。 由于刚性区域的引入,您可能会观察到销钉接头附近的应力热点区域。 应力热点会随距离而逐渐减小,直至它们在距离圆柱面大约一个直径的区域才消失。
仅适用于线性静态算例,您可以为销钉接头选择分布式耦合公式。 分布耦合将所连接的圆柱面(耦合节点)的节点运动约束为平均意义上的横梁端点(参考节点)的平移和旋转。 分布式连接允许圆柱面的耦合节点相对移动。 分布式连接类型在销钉接头附近产生更真实的应力和位移场。
销钉的轴向刚度定义了连接到销钉的圆柱面(或圆形边线)之间的相对轴向运动。 销钉的旋转刚度定义了圆柱面(或圆形边线)之间的相对旋转运动。 对于连接两个以上圆柱面或边线的销钉,软件会根据每个销钉分段的几何特征(如横断面面积、惯性极矩和长度)重新分配轴向刚度和旋转刚度。 销钉分段连接两个连续的圆柱面,并具有两个端点。 每个销钉接点位于连接的圆柱面或圆形边线的重心处。
销钉接头力清单
求解器将计算每个销钉分段的两个端点处的接头力。
例如,对于连接铰接板的四个圆柱的单个销钉定义,如上所示,求解器将计算并列出四个销钉接点处的销钉力。 每个销钉接点位于连接到销钉的每个圆柱面的重心。
软件将列出每个接头接点与销钉的局部坐标系有关的四种力。 将显示一个图像,其中显示了一个销钉的横截面以及在接点处计算的力。

- FA = 销钉横截面的轴心力
正轴心力表示销钉分段处于张紧状态;负轴心力表示压缩。 软件将作用于销钉分段的载荷报告为销钉接点处的销钉接头载荷。 对于接点处的接头载荷列表,不考虑销钉分段的负载平衡。
- FV = 销钉横截面的剪切力
- Mb = 折弯动量
- T = 力矩
对于连续销钉分段共用的销钉接点,例如上图中的接点 2,解算器将计算公共接点左右两侧的两组销钉接头力。 该图显示了销钉接头的横截面,其中两个销钉分段(蓝色)连接到三个圆柱面。

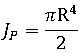
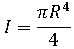
销钉接头半径 R 是连接到销钉的圆柱面或圆形边线的半径。 单个销钉接头定义的销钉分段具有不同的半径。
解算器计算公共接点左右两侧的 von Mises 应力。 软件比较 von Mises 应力,并列出产生最高 von Mises 应力的一组销钉力(从左侧或侧面)。
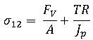
一般平面应力情况下的 von Mises 应力的计算公式为:

,
,
, 
对于销钉接头的通过/未通过安全检查,软件根据 von misses 应力标准选择具有最大组合载荷的销钉接点,以评估销钉的安全系数。 请参见主题 SOLIDWORKS Simulation 帮助: 销钉接头 - 安全检查