• 关于
  • 学习资源
  • My.SolidWorks
  • 订购服务
3DS
> 模拟 > 分析背景 > 热分析 > 传热机制 > 辐射 > Planck 分布
Compass
SOLIDWORKS 帮助
其他版本:  |  打印     | 对该主题的反馈  
欢迎使用 SOLIDWORKS 在线帮助
Expand 使用 3DEXPERIENCE Platform 和 3DEXPERIENCE 应用程序 使用 3DEXPERIENCE Platform 和 3DEXPERIENCE 应用程序
Expand 使用在线服务使用在线服务
Expand 用户界面用户界面
Expand 基础知识基础知识
Expand 显示显示
Expand 从 2D 移动到 3D从 2D 移动到 3D
Expand 装配体装配体
Expand CircuitWorksCircuitWorks
Expand 配置配置
Expand SOLIDWORKS CostingSOLIDWORKS Costing
Expand Design CheckerDesign Checker
Expand SOLIDWORKS 中的设计算例SOLIDWORKS 中的设计算例
Expand 出详图和工程图出详图和工程图
Expand SOLIDWORKS 文件实用程序SOLIDWORKS 文件实用程序
Expand DFMXpressDFMXpress
Expand DriveWorksXpressDriveWorksXpress
Expand FloXpressFloXpress
Expand 导入和导出导入和导出
Expand SOLIDWORKS MBD SOLIDWORKS MBD
Expand 模型显示模型显示
Expand 模具设计模具设计
Expand 运动算例运动算例
Expand 零件和特征零件和特征
Expand 步路步路
Expand 钣金钣金
Collapse 模拟模拟
欢迎使用 SOLIDWORKS Simulation 帮助
访问帮助
法律声明
SOLIDWORKS Simulation 参考
Expand SOLIDWORKS Simulation 基础知识SOLIDWORKS Simulation 基础知识
Expand 使用 SOLIDWORKS Connected 进行仿真使用 SOLIDWORKS Connected 进行仿真
Collapse 分析背景分析背景
Expand 线性静态分析线性静态分析
Expand 频率分析频率分析
Expand  动态分析 动态分析
Expand 线性化扭曲分析线性化扭曲分析
Collapse 热分析热分析
Collapse 传热机制传热机制
传导
对流
Collapse 辐射辐射
辐射基本定义
Stefan-Boltzmann 定律
Planck 分布
真实表面的辐射发射
表面之间的辐射交换(表面到表面的辐射)
壳体表面的辐射
辐射视角因数
执行热分析
Expand 热接触阻力热接触阻力
传热分析类型
恒温器
热分析的输出
热量/热能 PropertyManager
Expand 非线性静态分析非线性静态分析
Expand 掉落测试算例掉落测试算例
Expand 疲劳分析疲劳分析
Expand 压力容器设计概述压力容器设计概述
Expand 横梁和桁架横梁和桁架
Expand 2D 简化2D 简化
Expand Simulation 算例Simulation 算例
Expand 子建模算例子建模算例
Expand Simulation 材料Simulation 材料
Expand 模拟选项模拟选项
Expand 交互选项交互选项
Expand 复合壳体复合壳体
Expand 设计算例设计算例
Expand 安全系数检查安全系数检查
Expand 载荷和约束载荷和约束
Expand 网格化网格化
Expand 参数参数
Expand 算例报告算例报告
Expand 拓扑算例拓扑算例
Expand 查看分析结果查看分析结果
Expand 进行 2D 简化的工作流程进行 2D 简化的工作流程
Expand 分析库特征分析库特征
Expand SimulationXpressSimulationXpress
Expand 草图绘制草图绘制
Expand SLDXML 数据交换SLDXML 数据交换
Expand SOLIDWORKS SustainabilitySOLIDWORKS Sustainability
Expand 公差公差
Expand TolAnalystTolAnalyst
Expand 工具箱工具箱
Expand SOLIDWORKS UtilitiesSOLIDWORKS Utilities
Expand 焊件和结构系统焊件和结构系统
Expand 安装与管理安装与管理
Expand 疑难解答疑难解答
法律声明
隐藏目录 显示目录

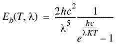
Planck 分布

Planck 定律提出黑体辐射的强度与波长(或频率)的函数关系。

其中:

h = Planck 常数 = 6.6262X10-34 joule.sec

c = 光在真空中的速度

λ = 所发出辐射的波长

K = Boltzmann 常数

T = 绝对温度

父主题辐射
辐射基本定义
Stefan-Boltzmann 定律
真实表面的辐射发射
表面之间的辐射交换(表面到表面的辐射)
壳体表面的辐射
辐射视角因数
在 SOLIDWORKS 知识库中搜索“Planck 分布”。


提供对该主题的反馈

SOLIDWORKS 欢迎您对此文档的外观、准确性及完整性提供反馈。请使用以下表格,将您对该主题的评论和建议直接发送给我们的文档团队。文档团队不能回答技术支持问题。单击此处获取有关技术支持的信息。

* 必填

 
*电子邮件:  
主题:   对帮助主题的反馈
页面:   Planck 分布
*评论:  
*   本人确认已阅读并且接受 Dassault Systèmes 按照《隐私政策》使用本人的个人数据
取消

感谢您的意见。如果我们对您的反馈有任何疑问,将会与您联系。

此致,
SOLIDWORKS 文档团队

打印主题

选择要打印的内容范围:

取消
x

我们检测到您在使用旧于 Internet Explorer 7 的浏览器版本。为优化显示,我们建议您将您的浏览器升级到 Internet Explorer 7 或以上。

 永不再显示此信息
x

Web 帮助内容版本:SOLIDWORKS 2023 SP05

要从 SOLIDWORKS 中禁用 Web 帮助并使用本地帮助,请单击帮助 > 使用 SOLIDWORKS Web 帮助。

要报告在 Web 帮助界面和搜索中所遇到的问题,请联系您的当地支持代表。要提供单个帮助主题的反馈,请使用单个主题页面上的“对该主题的反馈”链接。

0.20.49

使用条款  | 隐私政策  | 个性化 Cookie 选项  | 获取产品演示  | 联系销售部门  | 索取报价  © 1995-2025 Dassault Systèmes。保留所有权利。