瑞利阻尼

n x n 对称阻尼矩阵 [C] 以质量 [M] 和刚度 [K] 矩阵的线性组合公式化形式阐述:

(方程式 1)

  • Alpha 系数: 设置与质量成比例的系数 α。
  • Beta 系数: 设定与刚度成比例的系数 β。

(方程式 1)所描述的阻尼的类型称为瑞利阻尼或比例阻尼。

这种形式的 [C] 与系统的特征向量正交。

通过模态坐标转换,模态阻尼矩阵 [c] 将变为对角关系:

(方程式 2)

您可为线性和非线性动态算例定义瑞利阻尼。

瑞利系数和模态阻尼比率的关系

模态阻尼矩阵 [c] 由以下公式指定:

(方程式 3)

ith 模式的粘性阻尼系数 ci 由以下公式计算得出:

(方程式 4),

粘性阻尼比率 ζi 表达式为

(方程式 5)

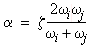
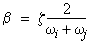
如果 ith 和 jth 模式的阻尼比率为 ζi 和 ζj,则瑞利系数 α 和 β 由两个代数方程式求解计算得出:

(方程式 6)

如果两种模式具有相同的阻尼比率 ( ζi = ζj = ζ),则 α 和 β 的值由以下公式得出:

(方程式 7)(方程式 8)

所有其它模式的粘性阻尼比率 ζ 将随频率的变化而变化,如图所示: