此准则基于以下假设,即在屈服状态下,介质所有点处的最大抗剪应力相同,并且等于从给定材料的单轴张力试验所得出的屈服应力的一半。
在三维情况下,只要满足一个不等式,就会出现屈服:

换句话说,屈服基于最大抗剪应力,它等于最大和最小主要应力之差的一半。根据这一准则,中间主要应力不会影响屈服状态。
在部分设计规范和参考中,Tresca 对等应力定义为等于 (σ1 – σ3) 的最大抗剪应力的两倍,其他的则定义为应力强度。
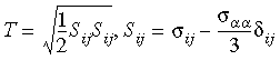
抗剪应力强度
抗剪应力强度由应力偏量的第二不变量的平方根来定义,可以表示为:
纯抗剪状态
纯抗剪状态定义为:
对于这种状态,抗剪应力强度和最大抗剪应力等量:
使用 Tresca 条件,得到的屈服点处的抗剪应力为张力屈服应力的一半:
根据 von Mises 屈服准则,抗剪屈服应力等于:
- 同向性和运动性硬化规则均可用于 Tresca 模型 。当偏量空间中的屈服曲面的半径和中心可以相对于载荷历史而变化时,将实施同向性和运动性硬化的线性组合。
-
硬化因子定义运动性硬化和同向性硬化的比例。
- 对于纯同向性硬化,硬化因子的值为 0。屈服曲面的半径扩展,但其中心让固定在偏量空间中。
- 对于纯运动性硬化,硬化因子的值为 1。屈服曲面的半径保持不变,但其中心可在偏量空间中移动。