Criterio di fallimento Tsai-Wu

Il criterio di Tsai-Wu consente di determinare il fattore di sicurezza per gli shell ortotropi compositi.

Questo criterio considera l'energia di sollecitazione totale (l'energia di distorsione e l'energia di dilatazione) per precedere i cedimenti. Si tratta di un criterio di fallimento più generale del criterio Tsai-Hill, perché distingue tra forze di cedimento di compressione e di tensione.

Per uno stato di sollecitazione 2D (σ3 = 0, τ13 =0, τ23 =0), il criterio di fallimento di Tsai-Wu si esprime come segue:

TsaiWU_Failure_Index

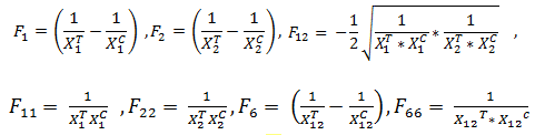
I coefficienti Fij del criterio di fallimento ortotropo di Tsai-Wu sono correlati ai parametri di forza del materiale della lamina e vengono determinati sperimentalmente. Possono essere calcolati tramite le seguenti formule:

TsaiWu_Coefficients

XT 1 forza di tensione del materiale laminato lungo la direzione della fibra
XC 1 forza di compressione del materiale laminato lungo la direzione della fibra
XT 2 forza di tensione del materiale laminato in direzione trasversale a quella della fibra
XC 2 forza di compressione del materiale laminato in direzione trasversale a quella della fibra
XT 12 resistenza di taglio positiva del laminato
XC 12 resistenza di taglio negativa del laminato (il solutore la considera uguale a quella positiva)

Lo stato di sollecitazione della lamina calcolato dal programma è descritto dalle componenti σ1, σ2 e τ12

σ1 sollecitazione del laminato lungo la direzione della fibra
σ2 sollecitazione del laminato in direzione trasversale a quella della fibra
τ12 sollecitazione di taglio del laminato

Direzioni materiali strati composito

composite_material_directions.gif

Direzione 1 indica la direzione di orientamento delle fibre dello strato.

Direzione 2 indica la direzione trasversale delle fibre nel piano dello strato.

Fattore di sicurezza

Il programma restituisce il fattore di sicurezza (FOS), ovvero il coefficiente per cui devono essere moltiplicate tutte le componenti della sollecitazione del laminato per raggiungere il punto di fallimento del laminato, in base al criterio di Tsai-Wu sopra riportato. Il coefficiente FOS per il fallimento del laminato può essere calcolato come segue:

Tsai-Wu_FOS, dove i coefficienti sono dati da:

Tsai-Wu_FOS_Coefficients

Un fattore di sicurezza maggiore di 1.0 indica che il laminato non è a rischio di fallimento.

Il criterio di fallimento Tsai-Wu non può precedere modi di cedimento diversi, compresi il cedimento delle fibre, quello delle matrici e il cedimento dell'interfaccia fibra-matrice.