アイテムを選択し、オプションを設定し、質量特性の計算結果を表示します。
質量特性 ダイアログ ボックスを開くには:
- 質量特性 (Mass Properties)
(ツール ツールバー)または をクリックします。
選択アイテム
|
計算、または質量特性を指定するアイテムを選択します。 アイテムを追加、削除、または変更する場合には再計算(Recalculate)をクリックし、新規の値を表示します。 |
オプション
|
ダイアログ ボックスを開き、他の測定単位を使用して結果を表示するオプションを設定できます。 [質量/断面特性オプション (Mass/Section Property Options)] ダイアログ ボックスを参照してください。 |
質量特性の上書き
|
ダイアログ ボックスを開き、質量、重心、慣性モーメントの値を上書きできます。 [質量特性の上書き(Override Mass Properties)] ダイアログ ボックスを参照してください。 質量特性が上書きされた構成部品がアセンブリに含まれている場合は、それらの構成部品が 質量特性 ダイアログ ボックスの下部にリストされます。
|
非表示のボディ/構成部品を含める
|
非表示のボディや構成部品を計算に含ませる場合に選択します。 |
重心フィーチャーを作成
|
重心フィーチャーをモデルに追加します。 |
次に関連する出力座標系をレポート (Report coordinate values relative to)
|
定義してある場合には、座標系を選択します。 |
印刷(Print)
|
このダイアログボックスから結果を直接印刷します。 |
クリックボードへコピー (Copy to Clipboard)
|
結果をクリップボードにコピーします。 |
ドキュメントを保存するときに、質量特性情報を更新できます。 次に質量特性情報を使用するときに(ドキュメントに変更が加えられていなければ)システムが再計算する必要がなくなるため、システム パフォーマンスが向上します。 このオプションを設定するには、 をクリックし、ドキュメント保存時に質量特性を更新 を選択します。
結果
次の質量特性が表示されます:
- 密度
- 質量
- ボリューム
- 表面積
- 重心
- 慣性主要軸
- 慣性モーメントと慣性項の積
グラフィックス領域では、1 色のトライアドによりモデルの主軸および重心が示されます。 3 色の参照 3D トライアドが原点に表示されます。
ユーザー定義プロパティおよびコンフィギュレーション特有のプロパティを定義する際には、質量特定を使用できます。 をクリックします。プロパティ(Properties)ダイアログ ボックスでユーザー定義(Custom)タブまたはコンフィギュレーション プロパティ(Configuration Properties)タブを選択し、値/テキスト表現(Value/Text Expression)の下をクリックして質量特性を含むドロップダウン リストにアクセスします。
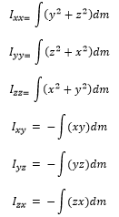
慣性モーメントと慣性項の積は次の定義に同意すると計算されます:
 |
 |
正のテンソル表記 |
負のテンソル表記 |
慣性テンソル マトリックスは慣性のモーメントから定義されます:
 |
 |
正のテンソル表記 |
負のテンソル表記 |