対流(Convection)

対流とは固体の表面から面に接して移動している流体(または気体)への熱の伝達様式の事です。対流には次の 2 つの要素があります。
  • ランダムな分子運動によるエネルギーの伝達(拡散)
  • 液体のバルク運動または巨視的運動によるエネルギーの伝達(移流)
対流のメカニズムを以下に説明します。暖かい表面に接している流体の層が暖かくなると、その密度が下がって(常圧では、密度は温度に反比例します)上に上がろうとします。表面近辺の冷えた(重くなった)流体が暖かい流体と入れ替わって、循環パターンが形成されます。

温度が Tf の流体と表面積 A を持つ温度 Ts の固体の表面間の熱の交換率はニュートンの法則に従っており、次のように表すことができます。

qc = h A (Tc - Tair)

ここで、h は熱伝達係数です。h の単位は W/m2.K または Btu/s.in2.F です。対流熱伝達係数(h)は、液体の運動、ジオメトリ、および熱力学的性質と物理的性質に依存します。

一般的に、対流熱伝達には 2 つのモードがあります。

自然(自由)対流(Natural (Free) Convection)

固体の表面に接した流体の動きは、固体と流体の温度の差によって流体の密度が変化することによる浮力によって引き起こされます。熱いプレートが冷却されるために空中に置かれている場合、プレートの面に接している空気の粒子は暖められ、その密度は小さくなり、上方へ動きます。

強制対流

扇風機やポンプのような外的手段は、固体表面上の流体の流れを加速するために用いられます。固体表面上の流体粒子の速い動きは温度勾配を大きくし、熱交換率を増大させます。次の図では、熱いプレート上に空気が強制対流として描かれています。

熱伝達係数

冷却におけるニュートンの法則によれば、温度 Ts の表面から温度 Tf の周囲の流体への熱伝導率は次の方程式によって与えられます。

qc = h A (Tc - Tair)

ここで、熱伝達係数 h の単位は W/m2.K または Btu/s.in2.F です。係数 h は熱力学的性質を示しません。流体の状態とフロー条件については簡略化されているため、流動性と呼ばれる場合があります。

対流は、境界層の概念に関係しています。境界層とは、一つの面の間の薄い伝導層のことで、周囲が静止した分子と流体の流れに接していると仮定されています。このことが、平板上の流れとして下の図に示されています。

ここで、u(x,y) は X 方向の速度です。自由流速度の 99% として定義された流体層の外縁までの領域は、流体境界層厚さ δ(x) と呼ばれています。

同じような図を表面から周囲への温度遷移として作成することができます。温度変化を下の図に示します。温度境界層厚さは、流体のものと同じにする必要がないことに注意してください。プラントル数を構成する流動性が、2 種類の境界層の相対的な大きさを決定します。1 のプラントル数(Pr)は、両境界層が同じ性質であることを意味します。

Y方向での境界層を通る熱の移動の実際のメカニズムは、壁と隣接している静止流体での熱伝導が流体と境界層からの対流と等しくなります。これは次の式で表すことができます。

h A (Ts - Tf) = - k A (dT/dy)s

与えられた状況に対する熱伝達係数は、熱伝導率と温度変化または面に隣接した温度勾配と温度変化を測定することによって、評価することができます。

境界層を超えた温度勾配の測定方法は高い精度が必要なため、通常は研究室で実行されます。多くの手引き書に、さまざまな構成に対する対流熱伝達係数の値が表形式で紹介されています。

下の表に対流熱伝達係数の代表的な値を示します。

中級 熱伝達係数 h (W/m2.K)
空気(自然対流) 5-25
空気/加熱蒸気(強制対流) 20-300
油(強制対流) 60-1800
水(強制対流) 300-6000
水(沸騰) 3000-60,000
蒸気(凝縮) 6000-120,000

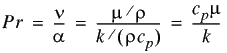
プラントル数

プラントル数は、速度と温度の境界層の厚さに関するパラメータで、次の式で与えられます。

ここで、ν は運動学的粘性、α は熱拡散、ρ は流体密度、κ は液体の熱伝導率、cp は液体の常圧における熱容量を表します。

液体の運動学的粘性 ν は、分子運動によって運動量が液体を通して拡散する割合を明らかにします。熱拡散 α は、液体内の熱の拡散に関する情報を明らかにします。この二つの量の割合は、液体内の運動量と熱の拡散の相対的な大きさを意味します。