Modelo elástico não linear

A ilustração a seguir mostra uma curva de tensão-deformação típica de um modelo de material não linear:

fig_1.gif

Para o caso específico de históricos de tensões relacionados a carregamentos proporcionais, onde os componentes do tensor de tensão variam monotonicamente com uma razão constante entre si, as deformações podem ser expressas em termos do estado final da tensão, da seguinte forma:

7.gif

Ds é a matriz de material da secante, Es é o módulo da secante, v é o coeficiente de Poisson

Para incorporar este modelo, precisam ser definidos o coeficiente de Poisson NUXY e a curva tensão-deformação do material.

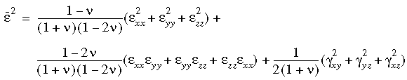
O vetor de deformação total ε é usado para calcular a deformação efetiva ε(bar) para obter o módulo de secante da curva (tensão-deformação) do material definido pelo usuário. Para os casos tridimensionais,

8.gif

A curva de tensão-deformação do terceiro quadrante (compressivo) para o primeiro (tração) são aplicáveis a este modelo para dois e três elementos dimensionais com algumas modificações. Um método de interpolação é usado para obtenção dos módulos da secante e da tangente. Ao definir o coeficiente R que é uma função da deformação volumétrica Φ, deformação efetiva e coeficiente de Poisson, R tem a seguinte expressão:

9.gif

 Nota-se que R = 1 representa o caso da tração uniaxial e R = -1, o caso da compressão. Esses dois casos são configurados para serem os limites mais alto e mais baixo, de tal forma que quando R exceder esses dois valores, o programa o levará novamente para o limite. O modelo não linear de material elástico pode ser usado com sólidos e malhas de casca.