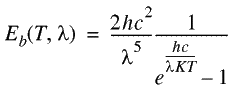
Distribuição de Planck

A lei de Planck calcula a intensidade irradiada por um corpo negro em função do comprimento de onda (ou frequência).

Onde:

h = Constante de Planck = 6.6262X10-34 joule.s

c = Velocidade da luz no vácuo

l = Comprimento de onda da radiação emitida

K = Constante de Boltzmann

T = Temperatura absoluta