Um material é isotrópico se suas propriedades não variam com a direção.
Os materiais isotrópicos têm módulos elásticos, coeficiente de Poisson, coeficientes de expansão e condutividade térmica, etc., idênticos em todas as direções. O termo isotérmico é algumas vezes usado para qualificar materiais sem direção preferencial quanto aos seus coeficientes de expansão térmica.
Para definir as propriedades elásticas isotrópicas, você precisa definir o módulo elástico E. O programa assume o valor 0,0 para o Coeficiente v de Poisson, se nenhum valor for especificado. Um valor comum para a coeficiente de Poisson é 0,3.
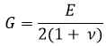
O módulo de cisalhamento G é calculado internamente pelo programa a partir da fórmula:
Você não precisa digitar um valor para um módulo de cisalhamento de um material isotrópico elástico linear. Se você digitar um valor para o módulo de cisalhamento, o programa o ignora e calcula o módulo de cisalhamento a partir da fórmula acima.
A matriz de rigidez para um material isotrópico contém somente dois coeficientes independentes. As seções a seguir descrevem as relações isotrópicas tensão-deformação em duas e três dimensões, incluindo o efeito de deformações térmicas.
A forma mais geral de relações isotrópicas de tensão-deformação, incluindo efeitos térmicos, é mostrada abaixo: