產生新的曲線資料庫或編輯現有的曲線資料庫

建立新的曲線資料庫或編輯現有的資料庫:

  1. 在 Simulation 研究樹狀結構中,用右鍵按一下研究圖示,然後選擇定義函數曲線
  2. 功能曲線對話方塊中:
    1. 瀏覽以選擇現有的資料庫或輸入新資料庫名稱。Simulation 曲線資料庫的副檔名為 cwcur
    2. 曲線資料庫方塊中,請執行下列操作之一︰
      • 用右鍵按一下時間曲線,然後選擇產生曲線以定義時間曲線。
      • 用右鍵按一下溫度曲線,然後選擇產生曲線以定義溫度曲線。
      • 用右鍵按一下 S-N 曲線,然後選擇產生曲線以定義 S-N 曲線。
      • 用右鍵按一下負載歷程曲線,然後選擇產生曲線以定義可用來定義變化振幅疲勞事件的負載歷程曲線。
      • 用滑鼠右鍵按一下頻率曲線並選擇產生曲線,以定義諧波及隨機振動線性動態研究中使用的頻率變數。
    3. 名稱方塊中,選擇現有的曲線名稱以進行編輯,或是輸入新的曲線名稱。
    4. 曲線資料方塊中,進行下列操作:
      • 視曲線類型來指定所需的單位。
      • 要從外部文字檔案輸入曲線,請按一下檔案,然後瀏覽。
        檔案的格式視曲線類型而定。
      • 若要加入新的一列,連按兩下欄。
      • 視需要填入 X 和 Y 儲存格。您可使用複製和貼上來填入曲線。
      • 要刪除一列,請強調顯示它並按一下 Delete 鍵,或用滑鼠右鍵按一下此列,然後選擇刪除
    5. 按一下檢視以產生曲線圖表。
      此範例可顯示程式到達超出曲線定義範圍的點時會發生什麼狀況。
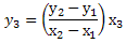
      程式到達曲線資料未提供的點時,會使用由函數曲線上最後兩點確定的斜度外推該點的資訊。

      例如,如果上述圖表為應力應變曲線,其中應變在 X 軸上,應力在 Y 軸上,則應變 y3 的值將根據應變 x3 的值進行如下計算:

    6. 重複步驟 b 到 e 以定義所需數量的曲線,然後按一下確定
    7. 按一下儲存以儲存資料庫。您可在任何研究中使用資料庫中的曲線。