Сверхупругая модель Blatz - Ko
Функция плотности энергии деформации применяется для моделирования сжимаемых резин типа пенополиуретана и выражается следующей формулой:

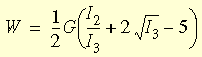
где G - модуль сдвига при инфинитезимальных деформациях = E/2(1+
n
), E - модуль упругости Юнга, n - коэффициент Пуассона, I
k - инварианты C
=I
k
(
C
), C - тензор деформации Коши-Грина = 2
e
+
I, e - тензор напряжения Лагранжа и I - единичная матрица.
Приведенное выше выражение содержит только одну постоянную материала G. Поскольку n = 0,25 для модели Blatz-Ko, единственным рассматриваемым свойством материала является модуль Юнга. Таким образом,

В настоящее время, модель Blatz-Ko поддерживается только твердотельными элементами (низкое и высокое качество).
Выбранная модель Blatz-Ko является упрощенной формой полученного в 1962 г. Blatz и Ko выражения для моделирования деформации высокосжимаемой пенополиуретановой резины. Приближенное значение энергии деформация устанавливается, при помощи следующего выражения:

, где

Позже, была предложена специфическая форма данного трехпараметрического семейства упругого потенциала, в которой допускались следующие значения постоянных a, b и n: b = 0, n = 0,25 и a = 0,5.