Сверхупругая модель Mooney-Rivlin
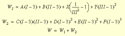
Функция плотности энергии деформации для модели Mooney-Rivlin выражается в следующем виде:

где I, II и III являются неизменяющимися (инвариантными) значениями правого тензора деформации Коши-Грина и могут выражаться в виде коэффициентов основного растяжения; A, B, C, D, E и F являются постоянными Mooney для материала, и

Следует обратить внимание на следующее обстоятельство: при достижении материалом уровня несжимаемости, третье неизменяемое значение III приближается к единице, а Y приближается к бесконечности. Соответственно, значения коэффициента Пуассона приближается к 0,5, последнее значение в w
1 остается в установленных пределах, с возможностью получения решения.
Модель материала по Mooney-Rivlin может использоваться с твердотельными элементами и плотными оболочками. Свойства материала модели Mooney-Rivlin используются в качестве входных данных в диалоговом окне Материал. В качестве входных данных могут использоваться до шести постоянных модели Mooney-Rivlin: Mooney_A, Mooney_B, Mooney_C, Mooney_D, Mooney_E и Mooney_F.
Постоянные Mooney-Rivlin рассчитываются автоматически при выборе параметра Использовать данные диаграммы, для расчета постоянных материала в диалоговом окне Материал. Постоянные сохраняются в текстовом файле с расширением .log в папке активных результатов исследования.
ПРИМЕЧАНИЯ
-
Следует использовать итеративный метод NR (Ньютона-Рафсона).
-
Значения коэффициента Пуассона большие или равные 0,48 и меньшие 0,5 считаются допустимыми. При использовании формулировка смещения-давления, рекомендуется использование значения коэффициента Пуассона в пределах от 0,499 до 0,4999.
-
Обычно, обладающие свойствами резины материалы деформируются быстро, при низких значениях нагрузок, и, соответственно, требуют медленного увеличения начальной нагрузки.
-
При работе с обладающими свойствами резины материалами, из-за высоко нелинейного поведения проблемы, быстрое увеличение нагрузки может привести к числовой нестабильности (отрицательные диагональные значения для жесткости) или несоответствию при максимальном числе повторов равновесия. В подобных случаях, может применяться автоматически адаптируемый пошаговый алгоритм.
-
Контроль перемещения или длины дуги может быть более эффективным, в сравнении с методом управления силой, при повторяющемся появлении отрицательных диагональных значений при различных скоростях нагрузки.
-
Для элементов оболочки с плотным составом, анализ упрощается, так как несжимаемость не приводит к получению неограниченных значений. Формулировка выполняется на основании идеальной несжимаемости (коэффициент Пуассона 0,5), следовательно, NUXY в расчет не принимается.
-
Постоянные А и В должны быть определены, для удовлетворения требованию (A+B) > 0. Для получения большей информации о методах определения значений постоянных А и В, пожалуйста, см. работы .
Для определения сверхупругих моделей...