Вязкоупругая модель
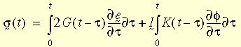
Упругие материалы, обладающие способностью рассеивания механической энергии из-за влияния вязкости, называются вязкоупругими материалами. Для состояния многоосевого напряжения, уравнение состояния может быть представлено следующим образом:

где e и f - девиаторные и объемные деформации; G(t - t
) and K(t - t
) - функции сдвига и общей релаксации. Функции релаксации могут быть представлены механической моделью, (см. рисунок
), обычно, называемой обобщенной моделью Maxwell, описываемой следующими уравнениями:

где G
0 и K
0 - модуль начального сдвига и массовый модуль (t = 0), определяемые следующим способом: G
0
= E/2(1+v) и K
0
= E/3(1-2v).
g
i, k
i, t
i
G, и t
i
K - модули i-того сдвига и общий модуль с соответствующими значениями времени.
Влияние температуры на поведение материала описывается, при помощи принципа соответствия времени-температуры. Ниже, представлено математическое выражение данного принципа:

где g t - сокращенное время и g - функция смещения. Уравнение WLF (Williams-Landel-Ferry) используется, для приблизительного определения функции:

где TO - справочная температура, обычно, называемой температурой перехода в прозрачное состояние; C1 и C2 - зависящие от материала постоянные.
В состав требуемых параметров, входят следующие:
Параметр
|
Обозначение
|
Описание
|
Параметры линейной упругости
|
EX
|
Модуль упругости
|
NUxy
|
Коэффициент Пуассона
|
GXY (дополнительно).
|
Модуль сдвига
|
Параметры функции релаксации
|
G1, G2, G3,..., G8
|
представляют g1, g2,...,g8 в уравнениях обобщенной модели Maxwell
|
TAUG1, TAUG2,....., TAUG8
|
представляют t1g, t2g,..., t8g в уравнениях обобщенной модели Maxwell
|
K1, K2,..., K8
|
представляют k1, k2,...,k8 в уравнениях обобщенной модели Maxwell
|
TAUK1, TAUK2,..., TAUK8
|
представляют t1k, t2k,..., t8k в уравнениях обобщенной модели Maxwell
|
Параметры уравнения WLF
|
REFTEMP
|
представляет T0 в уравнении WLF
|
VC1
|
представляет C1 в уравнении WLF
|
VC2
|
представляет C2 в уравнении WLF
|
При определении кривой сдвига или общей релаксации во вкладке Таблицы и кривые, первой точкой кривой является модуль G
1
или K
1
в момент времени t
1. Для момента времени t = 0, программа автоматически вычисляет G
0
или K
0 из модуля упругости и коэффициента Пуассона.
Вязкоупругая модель материала может использоваться с твердотельными элементами и плотными оболочками низкого или высокого качества