Expand ÚvodÚvod
Expand SprávaSpráva
Expand Uživatelské rozhraníUživatelské rozhraní
Expand Základy SolidWorksZáklady SolidWorks
Expand Přestup z 2D na 3DPřestup z 2D na 3D
Expand SestavySestavy
Expand CircuitWorksCircuitWorks
Expand KonfiguraceKonfigurace
Expand SolidWorks CostingSolidWorks Costing
Expand Design CheckerDesign Checker
Expand Designová studie v SolidWorksDesignová studie v SolidWorks
Expand Detailování a výkresyDetailování a výkresy
Expand DFMXpressDFMXpress
Expand DriveWorksXpressDriveWorksXpress
Expand FloXpressFloXpress
Expand Import a exportImport a export
Expand Zobrazení modeluZobrazení modelu
Expand Navrhování foremNavrhování forem
Expand Studie pohybuStudie pohybu
Expand Díly a prvkyDíly a prvky
Expand Vyznačení trasyVyznačení trasy
Expand Plechové dílyPlechové díly
Collapse Aplikace SimulationAplikace Simulation
Expand SimulationXpressSimulationXpress
Expand SkicováníSkicování
Expand Produkty SustainabilityProdukty Sustainability
Expand SolidWorks UtilitiesSolidWorks Utilities
Expand TolerováníTolerování
Expand TolAnalystTolAnalyst
Expand ToolboxToolbox
Expand SvařováníSvařování
Expand Workgroup PDMWorkgroup PDM
Expand Řešení potížíŘešení potíží
Pojmy
Skrýt obsah

Postup harmonické analýzy

Harmonická analýza vyhodnocuje špičkovou odezvu systému v ustáleném stavu vzhledem k harmonickému zatížení.

Při každém kroku řešení mají všechna použitá zatížení a základová buzení stejnou frekvenci. Velikosti jsou definovány přidruženými frekvenčními křivkami.

Uvažujme vektor harmonické uzlové síly {P} definovaný jako:

(rovnice 1) nebo (rovnice 2),

kde:

Pk je velikost síly ve směru k-tého stupně volnosti

ω je frekvence buzení

a γk představuje fázový úhel síly.

U lineárních systémů se rovnice pohybu v systému rozdělí do n modálních rovnic:

(rovnice 3).

Dosazením vztahu pro vektor síly {P} do rovnice 3 získáme tento tvar:

(rovnice 4), kde

(rovnice 5)

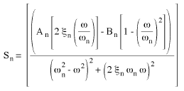
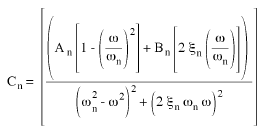
Řešením ustáleného stavu u rovnice 4 je:

(rovnice 6).

Reálná část rovnice 6 je:

(rovnice 7), kde

(rovnice 8) a

(rovnice 9).

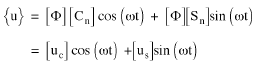
Vektor posunutí u je dán tímto vztahem:

(rovnice 10) nebo

(rovnice 11)

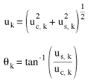
Velikost posunutí uk a odpovídající fázový úhel θk pro k-tý stupeň volnosti jsou:

(rovnice 12)

Reakce rychlosti a zrychlení jsou odvozeny z odvozenin rovnice 11. Jejich amplitudy jsou:

(rovnice 13)

Fázové úhly rychlostí a zrychlení jsou 90 º a 180 º vzhledem k fázovým úhlům posunutí.



Vyjádřete svůj názor na toto téma

SOLIDWORKS uvítá vaše názory ohledně prezentace, přesnosti a obsahu dokumentace. Pomocí níže uvedeného formuláře zašlete komentáře a doporučení k tomuto tématu přímo dokumentačnímu týmu. Dokumentační tým nebude odpovídat na otázky související s technickou podporou. Klepnutím zde získáte informace o technické podpoře.

* Povinné

 
*Email:  
Předmět:   Váš názor na témata nápovědy
Stránka:   Postup harmonické analýzy
*Komentář:  
*   Prohlašuji, že jsem si přečetl/a a souhlasím se zásadami ochrany osobních údajů, podle kterých bude společnost Dassault Systèmes zpracovávat moje osobní údaje

Tisk tématu

Zvolte rozsah, který se má tisknout:

x

Zjistili jsme, že používáte starší verzi prohlížeče než je Internet Explorer 7. Pro optimální zobrazení vám doporučujeme, aby jste upgradovali na Internet Explorer 7 nebo novější.

 Příště tuto zprávu nezobrazovat
x

Verze nápovědy na webu: SOLIDWORKS 2013 SP05

Chcete-li vypnout webovou nápovědu v rámci SOLIDWORKS a raději používat místní nápovědu, klikněte na Nápověda > Použít SOLIDWORKS nápovědu na webu.

Problémy s uživatelským rozhraním a vyhledáváním v nápovědě na webu nahlaste zástupci místní technické podpory. Zašlete váš názor na individuální témata nápovědy prostřednictvím odkazu “Váš názor na toto téma” na každé straně.