Expand ÚvodÚvod
Expand SprávaSpráva
Expand Uživatelské rozhraníUživatelské rozhraní
Expand Základy SolidWorksZáklady SolidWorks
Expand Přestup z 2D na 3DPřestup z 2D na 3D
Expand SestavySestavy
Expand CircuitWorksCircuitWorks
Expand KonfiguraceKonfigurace
Expand SolidWorks CostingSolidWorks Costing
Expand Design CheckerDesign Checker
Expand Designová studie v SolidWorksDesignová studie v SolidWorks
Expand Detailování a výkresyDetailování a výkresy
Expand DFMXpressDFMXpress
Expand DriveWorksXpressDriveWorksXpress
Expand FloXpressFloXpress
Expand Import a exportImport a export
Expand Zobrazení modeluZobrazení modelu
Expand Navrhování foremNavrhování forem
Expand Studie pohybuStudie pohybu
Expand Díly a prvkyDíly a prvky
Expand Vyznačení trasyVyznačení trasy
Expand Plechové dílyPlechové díly
Collapse Aplikace SimulationAplikace Simulation
Expand SimulationXpressSimulationXpress
Expand SkicováníSkicování
Expand Produkty SustainabilityProdukty Sustainability
Expand SolidWorks UtilitiesSolidWorks Utilities
Expand TolerováníTolerování
Expand TolAnalystTolAnalyst
Expand ToolboxToolbox
Expand SvařováníSvařování
Expand Workgroup PDMWorkgroup PDM
Expand Řešení potížíŘešení potíží
Pojmy
Skrýt obsah

Metody integrace

Následující metody integrace se používají pro studie nahodilé vibrace.

Standardní metoda

Standardní metoda analýzy nahodilých vibrací probíhá následovně:
  1. Kolem každého požadovaného přirozeného režimu se vyberou určité frekvenční body. Umístění těchto bodů závisí na hodnotě předmagnetizačního parametru p.

    Pokud má parametr hodnotu 1,0, jsou všechny frekvenční body jednotně rozloženy mezi přirozenými frekvencemi. Pokud je parametr větší než 1,0, body se vyberou blíže k přirozeným frekvencím. Výchozí hodnoty pro frekvenční body a předmagnetizační parametr jsou dány jako funkce poměru tlumení ζ prvního režimu. Znázornění výběru frekvenčních bodů zobrazíte klepnutím sem.

    Výchozí hodnoty pro frekvenční body a předmagnetizační parametr jako funkce ζ jsou dány níže:

    Poměr modálního tlumení Počet frekvencí (výchozí) Předmagnetizační parametr (výchozí)
    ζ < 0,01 21 11
    0,01 < ζ < 0,1 21-4,34 ln(ζ /0,01) 11-3,47 ln(ζ /0,01)
    ζ > 0,1 11 3

    Software použije výchozí hodnoty dané v tabulce 1 v případě, že je pro Počet frekvenčních bodůPředmagnetizační parametr nastavena nula (0).

  2. Modální psd odezvy se vyhodnotí u každého frekvenčního bodu. Poměr přerušení příčných kmitů (POMĚR) nastavuje omezení poměru všech možných dvojic přirozených frekvencí (wi / wj, i > j).

    To znamená, že u každé dvojice režimů, kde wi / wj > POMĚR, se podmínky spektrální hustoty zanedbají. Účinky režimů se neberou v úvahu v případě, že POMĚR = 1.

  3. Modální psd se potom číselně integrují v zadaném rozsahu frekvencí a tak vzniknou střední kvadratické hodnoty a kovariance modální reakce. Integrace se provede číselně pomocí Gaussovy integrace 2. nebo 3. řádu v každém frekvenčním intervalu podle interpolace log-log. Střední kvadratická odezva se získá součtem shrnutí intervalů.
  4. Transformací z modální na uzlové nakonec vzniknou rms posunutí, rychlosti a zrychlení systému.

Přibližná metoda

Standardní metoda integrace může zahrnovat časově náročné výpočty z důvodu číselné integrace velkých matic. Metoda přibližné integrace provádí zjednodušené řešení podle následujících předpokladů:
  • Zanedbání reakce režimů, Sx(ω) , která představuje vzájemný účinek režimů:

    (rovnice 1)

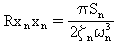
  • Psd buzení se v každém režimu považují za konstantní. Předpokládá se tedy, že každý režim je buzen „bílým šumem” se spektrální hustotou Sn, kde;

    (rovnice 2)

    ωn je přirozená frekvence režimu n (n = 1,2,...nf).

    U bílého šumu lze střední kvadratické odezvy určit analyticky pro modální odezvy:

    (rovnice 3)

    (rovnice 4)

    (rovnice 5).



Vyjádřete svůj názor na toto téma

SOLIDWORKS uvítá vaše názory ohledně prezentace, přesnosti a obsahu dokumentace. Pomocí níže uvedeného formuláře zašlete komentáře a doporučení k tomuto tématu přímo dokumentačnímu týmu. Dokumentační tým nebude odpovídat na otázky související s technickou podporou. Klepnutím zde získáte informace o technické podpoře.

* Povinné

 
*Email:  
Předmět:   Váš názor na témata nápovědy
Stránka:   Metody integrace
*Komentář:  
*   Prohlašuji, že jsem si přečetl/a a souhlasím se zásadami ochrany osobních údajů, podle kterých bude společnost Dassault Systèmes zpracovávat moje osobní údaje

Tisk tématu

Zvolte rozsah, který se má tisknout:

x

Zjistili jsme, že používáte starší verzi prohlížeče než je Internet Explorer 7. Pro optimální zobrazení vám doporučujeme, aby jste upgradovali na Internet Explorer 7 nebo novější.

 Příště tuto zprávu nezobrazovat
x

Verze nápovědy na webu: SOLIDWORKS 2013 SP05

Chcete-li vypnout webovou nápovědu v rámci SOLIDWORKS a raději používat místní nápovědu, klikněte na Nápověda > Použít SOLIDWORKS nápovědu na webu.

Problémy s uživatelským rozhraním a vyhledáváním v nápovědě na webu nahlaste zástupci místní technické podpory. Zašlete váš názor na individuální témata nápovědy prostřednictvím odkazu “Váš názor na toto téma” na každé straně.