Matice symetrického tlumení n x n [C] se formuluje jako lineární kombinace matic hmoty [M] a tuhosti [K]:
(rovnice 1)
- Koeficient alfa: Nastavuje poměrný koeficient hmoty α.
- Koeficient beta:Nastavuje poměrný koeficient tuhosti β.
Typ tlumení popsaný rovnicí 1 je znám jako Rayleighovo nebo poměrné tlumení.
Tato forma [C] je ortogonální vzhledem k vlastním vektorům (eigenvectors) systému.
Použitím modální transformace souřadnic se modální matice tlumení [c] stane diagonální:
(rovnice 2)
Rayleighovo tlumení je možné definovat pro lineární a nelineární dynamické studie.
Vztah Rayleighových koeficientů a poměru modálního tlumení
Matice modálního tlumení [c] je dána tímto vztahem:
(rovnice 3)
Koeficient viskózního tlumení ci pro i-tý režim je vypočítána pomocí tohoto vztahu:
(rovnice 4),
a poměr viskózního tlumení ζi je vyjádřen jako
(rovnice 5)
Pokud jsou poměry tlumení pro i-tý a j-tý režim ζi a ζj, vypočítají se Rayleighovy koeficienty α a β z řešení dvou algebraických rovnic:
(rovnice 6)
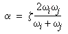
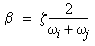
Pokud mají dva režimy stejný poměr tlumení (ζi = ζj = ζ), jsou hodnoty α a β dány tímto vztahem:
(rovnice 7)
(rovnice 8)
Poměr viskózního tlumení ζ pro jakýkoliv jiný režim se mění podle frekvence stejně jako na obrázku:
