Blatz-Ko 변형 에너지 밀도 함수는 압축 폴리우레탄 폼 유형 고무를 모델링할 때 유용하며 다음 식으로 표현할 수 있습니다.

여기에서,
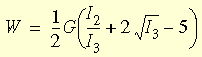
- G = E / 2(1+ν)는 무한소 변형 하의 전단계수, E는 영 계수, ν는 포아송비
- Ik(k=1,..3)는 Cauchy-Green 변형 텐서 C=Ik ⓒ)의 불변량
- C = 2ε +I , ε는 라그랑주 텐서, I는 항등 매트릭스입니다.
위 식에는 재질 상수 G 하나만 포함되어 있습니다. Blatz-Ko 모델에서 ν = 0.25이므로 고려할 유일한 재질 속성은 영 계수입니다.

Blatz-Ko 모델은 현재 솔리드 요소 전용(시험 및 고품질) 요소에서만 지원됩니다.
선택한 Blatz-Ko 모델은 고압축 폴리우레탄 폼 고무의 변형을 모델링하기 위해 Blatz와 Ko(1962)가 만든 단순한 형태입니다. 변형 에너지는 다음 식으로 대략적으로 계산됩니다.

여기에서

잠재 탄성에 대한 이 세 파라미터 군의 특별한 형태는 이후 상수 α, β 및 ν의 값이 가정될 때 제시되었습니다. α = 0.5, β = 0 및 ν = 0.25