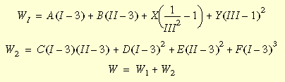
Mooney-Rivlin 변형 에너지 밀도 함수는 다음과 같습니다.

여기서 I, II, III은 오른쪽 Cauchy-Green 변형 텐서의 불변량이고 주 늘이기 비율과의 관계로 표시할 수 있습니다. A, B, C, D, E, F는 Mooney 재질 상수입니다. 그리고

재질이 비압축률에 접근하면 세 번째 불변량 III은 항등식에 접근합니다. 여기서 Y는 무한대로 접근합니다. 따라서 포아송비의 값이 0.5에 가까워지면 W1의 마지막 항의 경계가 유지되며 솔루션이 구해집니다.
Mooney-Rivlin 재질 모델을 솔리드 요소와 두꺼운 쉘에 사용할 수 있습니다. Mooney-Rivlin 모델의 물성치는 재질 대화 상자에서 입력합니다. 최대 여섯 개의 Mooney-Rivlin 상수를 입력할 수 있습니다. Mooney_A, Mooney_B, Mooney_C, Mooney_D, Mooney_E, 및 Mooney_F.
재질 대화 상자에서 재질 상수를 계산하기 위해 곡선 데이터 사용 옵션이 선택되면 Mooney-Rivin 상수가 자동으로 계산됩니다. 상수는 스터디의 활성 결과 폴더에 확장명이 .log인 텍스트 파일로 저장됩니다.