Expand ВведениеВведение
Expand АдминистрацияАдминистрация
Expand Интерфейс пользователяИнтерфейс пользователя
Expand Основные принципы SolidWorksОсновные принципы SolidWorks
Expand Переход из  2D в 3DПереход из 2D в 3D
Expand СборкиСборки
Expand CircuitWorksCircuitWorks
Expand КонфигурацииКонфигурации
Expand SolidWorks CostingSolidWorks Costing
Expand Design CheckerDesign Checker
Expand Исследования проектирования в SolidWorksИсследования проектирования в SolidWorks
Expand Чертежи и оформлениеЧертежи и оформление
Expand DFMXpressDFMXpress
Expand DriveWorksXpressDriveWorksXpress
Expand FloXpressFloXpress
Expand Импорт и экспортИмпорт и экспорт
Expand Отображение моделиОтображение модели
Expand Проектирование литейной формыПроектирование литейной формы
Expand Исследования движенияИсследования движения
Expand Детали и элементыДетали и элементы
Expand МаршрутМаршрут
Expand Листовой металлЛистовой металл
Collapse SimulationSimulation
Добро пожаловать в Справку по SolidWorks Simulation
Открытие и использование справки
Юридическая информация
Справочные сведения SolidWorks Simulation
Expand Основные принципы SolidWorks SimulationОсновные принципы SolidWorks Simulation
Collapse Предпосылки анализаПредпосылки анализа
Expand Линейный статический анализЛинейный статический анализ
Expand Частотный анализЧастотный анализ
Collapse  Динамический анализ Динамический анализ
Expand Линеаризованный анализ потери устойчивостиЛинеаризованный анализ потери устойчивости
Expand Термический анализТермический анализ
Expand Нелинейный статический анализНелинейный статический анализ
Expand Исследования на ударную нагрузкуИсследования на ударную нагрузку
Expand Анализ усталостиАнализ усталости
Expand Обзор по сосудам, работающим под давлениемОбзор по сосудам, работающим под давлением
Expand Балки и стержниБалки и стержни
Expand 2D Упрощение2D Упрощение
Expand Настройки моделированияНастройки моделирования
Окно PropertyManager Исследование
Expand Исследования SimulationИсследования Simulation
Expand Исследования подмоделейИсследования подмоделей
Expand Исследования проектированияИсследования проектирования
Expand Исследования 2D упрощенияИсследования 2D упрощения
Expand Составные оболочкиСоставные оболочки
Expand Нагрузки и ограниченияНагрузки и ограничения
Expand Сведения о создании сеткиСведения о создании сетки
Expand Создание сетки с контактомСоздание сетки с контактом
Expand Материалы SimulationМатериалы Simulation
Expand НастройкиНастройки
Expand Элементы библиотеки анализовЭлементы библиотеки анализов
Expand Просмотр результатов анализаПросмотр результатов анализа
Expand Отчеты исследованийОтчеты исследований
Expand Проверка запаса прочностиПроверка запаса прочности
Expand SimulationXpressSimulationXpress
Expand Создание эскизаСоздание эскиза
Expand Продукты Sustainability Продукты Sustainability
Expand SolidWorks UtilitiesSolidWorks Utilities
Expand ОтклоненияОтклонения
Expand TolAnalystTolAnalyst
Expand ToolboxToolbox
Expand Сварные деталиСварные детали
Expand Workgroup PDMWorkgroup PDM
Expand Устранение неполадокУстранение неполадок
Глоссарий
Скрыть содержание

Методы комбинирования узлов

Максимальная реакция конструкции рассчитывается путем сложения вклада каждого узла.

Доступны следующие методы комбинирования узлов.

Метод Описание
Квадратный корень суммы квадратов (SRSS) Данный метод оценивает максимальную реакцию путем расчета квадратного корня из суммы квадратов максимальных модальных реакций, возведенных в квадрат.

Абсолютная сумма Данный метод предполагает, что максимальные модельные реакции возникают в одно время во всех узлах. Это наиболее консервативный метод из всех методов комбинирования узлов.

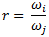
Полноквадратичная комбинация (CQC) Данный метод основан на теории случайного колебания. Максимальная реакция рассчитывается из максимальных модельных реакций в уравнении двойного суммирования.

где ρij является коэффициентом взаимной модальной корреляции, а ξI и ξj являются модальными коэффициентами демпфирования для узлов I и j.

Научно-исследовательская лаборатория ВМС (NRL) Метод комбинирования узлов, рекомендуемый NRL, рассматривает абсолютную величину реакции узла с наибольшей реакцией и добавляет ее к квадратному корню суммы квадратов реакции оставшихся узлов.

где является узлом с наибольшей реакцией среди всех модальных реакций.



Оставьте отзыв об этом разделе

SOLIDWORKS благодарит Вас за отзыв по поводу представления, точности и полноты документации. Воспользуйтесь формой ниже, чтобы отправить свои комментарии и предложения о данном разделе справки в Отдел документации. Отдел документации не предоставляет ответы на вопросы по технической поддержке. Нажмите здесь для получения информации о технической поддержке.

* Обязательно

 
*Электронная почта:  
Тема:   Отзывы по поводу разделов Справки
Страница:   Методы комбинирования узлов
*Отзыв:  
*   Я подтверждаю, что прочитал(а) и принимаю положения политики конфиденциальности, в соответствии с которыми Dassault Systèmes будет использовать мои персональные данные.

Печать разделов

Выберите содержимое для печати:

x

Вы используете более раннюю версию браузера, чем Internet Explorer 7. Для оптимизации отображения рекомендуется обновить Ваш браузер до версии Internet Explorer 7 или новее.

 Больше не отображать это сообщение
x

Версия содержимого веб-справки: SOLIDWORKS 2013 SP05

Чтобы отключить веб-справку в программе SOLIDWORKS и использовать локальную версию справки, нажмите Справка > Использовать веб-справку по SOLIDWORKS .

По проблемам, связанным с интерфейсом и поиском по веб-справке, обращайтесь к местному представителю службы поддержки. Чтобы оставить отзыв по отдельным темам справки, воспользуйтесь ссылкой "Отзыв об этом разделе" на странице нужного раздела.