Expand IntroductionIntroduction
Expand AdministrationAdministration
Expand User InterfaceUser Interface
Expand SolidWorks FundamentalsSolidWorks Fundamentals
Expand Moving from 2D to 3DMoving from 2D to 3D
Expand AssembliesAssemblies
Expand CircuitWorksCircuitWorks
Expand ConfigurationsConfigurations
Expand SolidWorks CostingSolidWorks Costing
Expand Design CheckerDesign Checker
Expand Design Studies in SolidWorksDesign Studies in SolidWorks
Expand Detailing and DrawingsDetailing and Drawings
Expand DFMXpressDFMXpress
Expand DriveWorksXpressDriveWorksXpress
Expand FloXpressFloXpress
Expand Import and ExportImport and Export
Expand Model DisplayModel Display
Expand Mold DesignMold Design
Expand Motion StudiesMotion Studies
Expand Parts and FeaturesParts and Features
Expand RoutingRouting
Expand Sheet MetalSheet Metal
Collapse SimulationSimulation
Expand SimulationXpressSimulationXpress
Expand SketchingSketching
Expand Sustainability ProductsSustainability Products
Expand SolidWorks UtilitiesSolidWorks Utilities
Expand TolerancingTolerancing
Expand TolAnalystTolAnalyst
Expand ToolboxToolbox
Expand WeldmentsWeldments
Expand Workgroup PDMWorkgroup PDM
Expand TroubleshootingTroubleshooting
Glossary
Hide Table of Contents

Hyperelastic Blatz-Ko Model

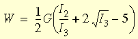
The Blatz-Ko strain energy density function is useful for modeling compressible polyurethane foam type rubbers and can be expressed as:

30.gif

where:
  • G = E / 2(1+ν) is the shear modulus under infinitesimal deformations, E is the Young's modulus of elasticity, ν is Poisson's ratio
  • Ik (k=1,..3) are the invariants of the Cauchy-Green deformation tensor C=Ik ©)
  • C = 2ε +I , ε is the Lagrangian strain tensor and I is the identity matrix.

The above expression, contains only one material constant G. Since ν = 0.25 for the Blatz-Ko model, the only material property which is considered is the Young's modulus.

31.gif

The Blatz-Ko model is currently supported by solid elements only (draft and high quality) elements.

The selected Blatz-Ko model is a simplified form of the expression obtained by Blatz and Ko (1962) to model the deformation of a highly compressible polyurethane foam rubber. The strain energy was approximated by the following expression:

39.gif

where

40.gif

A specific form of this three-parameter family of elastic potential was later proposed in which the following values of the constants α, β, and ν were assumed: α = 0.5, β = 0, and ν = 0.25.



Provide feedback on this topic

SOLIDWORKS welcomes your feedback concerning the presentation, accuracy, and thoroughness of the documentation. Use the form below to send your comments and suggestions about this topic directly to our documentation team. The documentation team cannot answer technical support questions. Click here for information about technical support.

* Required

 
*Email:  
Subject:   Feedback on Help Topics
Page:   Hyperelastic Blatz-Ko Model
*Comment:  
*   I acknowledge I have read and I hereby accept the privacy policy under which my Personal Data will be used by Dassault Systèmes

Print Topic

Select the scope of content to print:

x

We have detected you are using a browser version older than Internet Explorer 7. For optimized display, we suggest upgrading your browser to Internet Explorer 7 or newer.

 Never show this message again
x

Web Help Content Version: SOLIDWORKS 2014 SP05

To disable Web help from within SOLIDWORKS and use local help instead, click Help > Use SOLIDWORKS Web Help.

To report problems encountered with the Web help interface and search, contact your local support representative. To provide feedback on individual help topics, use the “Feedback on this topic” link on the individual topic page.