A lei de resfriamento de Newton afirma que a taxa de transferência de calor que passa uma superfície na temperatura Ts para um fluido circundante na temperatura Tf é dada pela equação:
Qconvenção = h A (Ts - Tf)
onde o coeficiente de transferência de calor usa as unidades W/m2.K ouBtu/s.in2.F. O coeficiente h não é uma propriedade termodinâmica. É uma correlação simplificada entre o estado do fluido e as condições do fluxo; portanto, geralmente é chamado de propriedade de fluxo.
A convecção está associada ao conceito de camada de limite, que é uma fina camada de transição entre uma superfície que se pressupõe adjacente a moléculas estacionárias e o fluxo do fluido circundante. Isso é ilustrado na figura a seguir, do fluxo sobre uma chapa plana.

Onde u(x,y) é a velocidade na direção x. A região até a extremidade externa da camada de fluido, definida como 99% da velocidade de fluxo livre, é chamada de espessura da camada limite do fluido d(x).
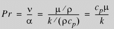
Um esboço semelhante poderia ser feito com a transição de temperatura, da temperatura da superfície para a temperatura ambiente. Um diagrama da variação de temperatura é mostrado na figura seguinte. Observe que a espessura da camada limite térmica não é necessariamente igual à do fluido. As propriedades do fluido que faz com que o número de Prandtl controle a magnitude relativa de dois tipos de camadas de limite. Um número de Prandtl (Pr) igual a 1 indicaria o mesmo comportamento para ambas as camadas.

Pressupõe-se que o mecanismo real de transmissão de calor através da camada limite seja a condução, na direção y, através do fluido estacionário próximo a parede, sendo igual à taxa de convecção da camada limite até o fluido. Isso pode ser escrito como:
h A (Ts - Tf) = - k A (dT/dy)s
Assim, o coeficiente de convecção em uma dada situação pode ser avaliado pela medição da taxa de transferência de calor e a diferença de temperatura, ou pela medição do gradiente de temperatura adjacente à superfície e a diferença de temperatura.
A medição de um gradiente de temperatura em uma camada limite requer alta precisão que geralmente é obtida num laboratório de pesquisas. Vários manuais contêm tabelas de valores dos coeficientes de transmissão de calor por convecção para diversas configurações.
A tabela a seguir mostra alguns valores típicos para o coeficiente de transferência de calor por convecção:
| Médio |
Coeficiente de transferência de calor h (W/m2.K) |
| Ar (convecção natural)
|
5-25
|
| Ar/vapor superaquecido (convecção forçada)
|
20-300
|
| Óleo (convecção forçada)
|
60-1800
|
| Água (convecção forçada)
|
300-6000
|
| Água (fervente)
|
3000-60,000
|
| Vapor (em condensação)
|
6000-120,000
|