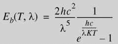
A lei de Planck calcula a intensidade irradiada por um corpo negro em função do comprimento de onda (ou frequência).

Onde:
h = Constante de Planck = 6.6262X10-34 joule.s
c = Velocidade da luz no vácuo
l = Comprimento de onda da radiação emitida
K = Constante de Boltzmann
T = Temperatura absoluta