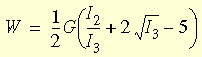
The Blatz-Ko strain energy density function is useful for modeling compressible polyurethane foam type rubbers and can be expressed as:

where:
- G = E / 2(1+ν) is the shear modulus under infinitesimal deformations, E is the Young's modulus of elasticity, ν is Poisson's ratio
- Ik (k=1,..3) are the invariants of the Cauchy-Green deformation tensor C=Ik ©)
- C = 2ε +I , ε is the Lagrangian strain tensor and I is the identity matrix.
The above expression, contains only one material constant G. Since ν = 0.25 for the Blatz-Ko model, the only material property which is considered is the Young's modulus.

The Blatz-Ko model is currently supported by solid elements only (draft and high quality) elements.
The selected Blatz-Ko model is a simplified form of the expression obtained by Blatz and Ko (1962) to model the deformation of a highly compressible polyurethane foam rubber. The strain energy was approximated by the following expression:

where

A specific form of this three-parameter family of elastic potential was later proposed in which the following values of the constants α, β, and ν were assumed: α = 0.5, β = 0, and ν = 0.25.