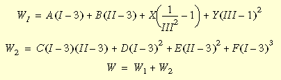
The Mooney-Rivlin strain energy density function is expressed as:

where I, II, and III are invariants of the right Cauchy-Green deformation tensor and can be expressed in terms of principal stretch ratios; A, B, C, D, E, and F are Mooney material constants, and

It has to be noted that as the material approach incompressibility, the third invariant, III, approaches unity, while Y approaches infinity. Thus, for values of Poisson's ratio close to 0.5, the last term in W1 remains bounded, and a solution can be obtained.
The Mooney-Rivlin material model can be used with solid elements and thick shells. The material properties for Mooney-Rivlin model are input in the Material dialog box. Up to six Mooney-Rivlin constants can be input: Mooney_A, Mooney_B, Mooney_C, Mooney_D, Mooney_E, and Mooney_F.
The Mooney-Rivin constants are automatically computed when the Use curve data to compute material constants option in the Material dialog box is selected. The constants are saved in a text file with the extension .log in the active result's folder for the study.