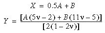
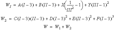
Funkcja gęstości energię odkształcenia Moneey'a-Rivlina jest wyrażona jako:
gdzie I, II oraz III są niezmiennikami właściwego tensora deformacji Cauchy'ego-Greena i mogą być wyrażone jako główne współczynniki proporcji rozciągnięcia; A, B, C, D, E i F są stałymi materiałowymi Mooney'a, natomiast

Trzeba zwrócić uwagę na fakt, że w miarę zbliżania się materiału do stanu nieściśliwości, III dąży do jedności, natomiast Y dąży do nieskończoności. Dlatego dla wartości współczynnika Poissona bliskich 0.5 ostatni składnik w W1 pozostaje ograniczony i można uzyskać rozwiązanie.
Model materiału Mooney-Rivlin może być używany z elementami bryłowymi i grubymi skorupami. Właściwości materiałowe modelu Mooney-Rivlin są wprowadzane w oknie dialogowym Materiał. Można wprowadzić maksymalnie sześć stałych Mooney'a-Rivlina: Mooney_A, Mooney_B, Mooney_C, Mooney_D, Mooney_E oraz Mooney_F.
Stałe Mooney'a-Rivlina są obliczane automatycznie, gdy jest zaznaczona opcja Użyj danych krzywej, aby obliczyć stałe materiału w oknie dialogowym Materiał. Stałe są zapisywane w pliku tekstowym z rozszerzeniem .log w aktywnym folderze wyników dla danego badania.