Expand ВведениеВведение
Expand АдминистрацияАдминистрация
Expand Интерфейс пользователяИнтерфейс пользователя
Expand Основные принципы SOLIDWORKSОсновные принципы SOLIDWORKS
Expand Переход из  2D в 3DПереход из 2D в 3D
Expand СборкиСборки
Expand CircuitWorksCircuitWorks
Expand КонфигурацииКонфигурации
Expand SOLIDWORKS CostingSOLIDWORKS Costing
Expand Design CheckerDesign Checker
Expand Исследования проектирования в SOLIDWORKSИсследования проектирования в SOLIDWORKS
Expand Чертежи и оформлениеЧертежи и оформление
Expand DFMXpressDFMXpress
Expand DriveWorksXpressDriveWorksXpress
Expand FloXpressFloXpress
Expand Обмен данными SLDXMLОбмен данными SLDXML
Expand Импорт и экспортИмпорт и экспорт
Expand Отображение моделиОтображение модели
Expand Проектирование литейной формыПроектирование литейной формы
Expand Исследования движенияИсследования движения
Expand Детали и элементыДетали и элементы
Expand МаршрутМаршрут
Expand Листовой металлЛистовой металл
Collapse SimulationSimulation
Добро пожаловать в Справку по SOLIDWORKS Simulation
Открытие и использование справки
Юридическая информация
Справочные сведения SOLIDWORKS Simulation
Expand Основные принципы SOLIDWORKS SimulationОсновные принципы SOLIDWORKS Simulation
Expand Предпосылки анализаПредпосылки анализа
Expand Настройки моделированияНастройки моделирования
Expand Исследования SimulationИсследования Simulation
Expand Исследования подмоделейИсследования подмоделей
Expand Исследования проектированияИсследования проектирования
Expand Поток работы для выполнения 2D упрощенияПоток работы для выполнения 2D упрощения
Expand Составные оболочкиСоставные оболочки
Expand Нагрузки и ограниченияНагрузки и ограничения
Expand Создание сеткиСоздание сетки
Expand Анализ контактовАнализ контактов
Collapse Материалы SimulationМатериалы Simulation
Expand НастройкиНастройки
Expand Элементы библиотеки анализовЭлементы библиотеки анализов
Expand Просмотр результатов анализаПросмотр результатов анализа
Expand Отчеты исследованийОтчеты исследований
Expand Проверка запаса прочностиПроверка запаса прочности
Expand SimulationXpressSimulationXpress
Expand Создание эскизаСоздание эскиза
Expand SOLIDWORKS MBD SOLIDWORKS MBD
Expand SOLIDWORKS UtilitiesSOLIDWORKS Utilities
Expand SOLIDWORKS SustainabilitySOLIDWORKS Sustainability
Expand ОтклоненияОтклонения
Expand TolAnalystTolAnalyst
Expand ToolboxToolbox
Expand Сварные деталиСварные детали
Expand Workgroup PDMWorkgroup PDM
Expand Устранение неполадокУстранение неполадок
Глоссарий
Скрыть содержание

Линейная упругая ортотропная модель

В противоположность изотропному материалу, ортотропный материал имеет предпочтительные взаимно перпендикулярные направления прочности. Свойства вдоль данных направлений (также, называемых главными направлениями) характеризуются крайними значениями коэффициентов упругости.

Матрица [D] для изотропного материала имеет девять независимых свойств упругости. В дополнение, существуют три свойства для теплового расширения.

Двухмерные ортотропные отношения напряжения-деформации

В двух измерениях, ортотропные отношения напряжения-деформации могут быть представлены в следующем виде, включая тепловые эффекты:

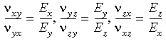
Обратите внимание на необходимость удовлетворения требования симметрии матрицы модуля упругости: νxy Ey = νyx Ex.

Вышеуказанное условие симметрии удовлетворяется вводом числовых значений в модуль упругости или коэффициент Пуассона.

В дальнейшем, в случае отсутствия числовых значений для модуля сдвига, программа производит расчет, в соответствии с указанным ниже:

В трех измерениях, условия ортотропной симметрии требуют:

При вводе свойств ортотропного материала в трех измерениях, следует убедиться в сохранении указанных выше условий симметрии.

Следует обратить внимание: в случае отсутствия числовых значения для модуля сдвига, программа производит расчет, в соответствии с указанным ниже:

Если Ex = Ey = Ez, программа рассчитывает модули сдвига, даже в случае явного указания данного значения. Программой принимаются значения 0,0 для коэффициентов Пуассона, при отсутствии явного указания значений.



Оставьте отзыв об этом разделе

SOLIDWORKS благодарит Вас за отзыв по поводу представления, точности и полноты документации. Воспользуйтесь формой ниже, чтобы отправить свои комментарии и предложения о данном разделе справки в Отдел документации. Отдел документации не предоставляет ответы на вопросы по технической поддержке. Нажмите здесь для получения информации о технической поддержке.

* Обязательно

 
*Электронная почта:  
Тема:   Отзывы по поводу разделов Справки
Страница:   Линейная упругая ортотропная модель
*Отзыв:  
*   Я подтверждаю, что прочитал(а) и принимаю положения политики конфиденциальности, в соответствии с которыми Dassault Systèmes будет использовать мои персональные данные.

Печать разделов

Выберите содержимое для печати:

x

Вы используете более раннюю версию браузера, чем Internet Explorer 7. Для оптимизации отображения рекомендуется обновить Ваш браузер до версии Internet Explorer 7 или новее.

 Больше не отображать это сообщение
x

Версия содержимого веб-справки: SOLIDWORKS 2016 SP05

Чтобы отключить веб-справку в программе SOLIDWORKS и использовать локальную версию справки, нажмите Справка > Использовать веб-справку по SOLIDWORKS .

По проблемам, связанным с интерфейсом и поиском по веб-справке, обращайтесь к местному представителю службы поддержки. Чтобы оставить отзыв по отдельным темам справки, воспользуйтесь ссылкой "Отзыв об этом разделе" на странице нужного раздела.