Expand ВведениеВведение
Expand АдминистрацияАдминистрация
Expand Интерфейс пользователяИнтерфейс пользователя
Expand Основные принципы SOLIDWORKSОсновные принципы SOLIDWORKS
Expand Переход из  2D в 3DПереход из 2D в 3D
Expand СборкиСборки
Expand CircuitWorksCircuitWorks
Expand КонфигурацииКонфигурации
Expand SOLIDWORKS CostingSOLIDWORKS Costing
Expand Design CheckerDesign Checker
Expand Исследования проектирования в SOLIDWORKSИсследования проектирования в SOLIDWORKS
Expand Чертежи и оформлениеЧертежи и оформление
Expand DFMXpressDFMXpress
Expand DriveWorksXpressDriveWorksXpress
Expand FloXpressFloXpress
Expand Обмен данными SLDXMLОбмен данными SLDXML
Expand Импорт и экспортИмпорт и экспорт
Expand Отображение моделиОтображение модели
Expand Проектирование литейной формыПроектирование литейной формы
Expand Исследования движенияИсследования движения
Expand Детали и элементыДетали и элементы
Expand МаршрутМаршрут
Expand Листовой металлЛистовой металл
Collapse SimulationSimulation
Добро пожаловать в Справку по SOLIDWORKS Simulation
Открытие и использование справки
Юридическая информация
Справочные сведения SOLIDWORKS Simulation
Expand Основные принципы SOLIDWORKS SimulationОсновные принципы SOLIDWORKS Simulation
Expand Предпосылки анализаПредпосылки анализа
Expand Настройки моделированияНастройки моделирования
Expand Исследования SimulationИсследования Simulation
Expand Исследования подмоделейИсследования подмоделей
Expand Исследования проектированияИсследования проектирования
Expand Поток работы для выполнения 2D упрощенияПоток работы для выполнения 2D упрощения
Expand Составные оболочкиСоставные оболочки
Expand Нагрузки и ограниченияНагрузки и ограничения
Expand Создание сеткиСоздание сетки
Expand Анализ контактовАнализ контактов
Collapse Материалы SimulationМатериалы Simulation
Expand НастройкиНастройки
Expand Элементы библиотеки анализовЭлементы библиотеки анализов
Expand Просмотр результатов анализаПросмотр результатов анализа
Expand Отчеты исследованийОтчеты исследований
Expand Проверка запаса прочностиПроверка запаса прочности
Expand SimulationXpressSimulationXpress
Expand Создание эскизаСоздание эскиза
Expand SOLIDWORKS MBD SOLIDWORKS MBD
Expand SOLIDWORKS UtilitiesSOLIDWORKS Utilities
Expand SOLIDWORKS SustainabilitySOLIDWORKS Sustainability
Expand ОтклоненияОтклонения
Expand TolAnalystTolAnalyst
Expand ToolboxToolbox
Expand Сварные деталиСварные детали
Expand Workgroup PDMWorkgroup PDM
Expand Устранение неполадокУстранение неполадок
Глоссарий
Скрыть содержание

Нелинейная упругая модель

Ниже представлена типовая диаграмма напряжения-деформации нелинейной модели материала:

fig_1.gif

Для отдельного случая данных изменений напряжений в части пропорциональной нагрузки с плавными изменениями, находящихся в постоянном взаимном соотношении компонентов тензора напряжения, деформации могут быть выражены в виде конечного состояния напряжения, в следующем формате:

7.gif

Ds — секущая матрица материала, Es — секущий модуль, v – коэффициент Пуассона

Для использования данной модели должны быть определены коэффициент Пуассона и диаграмма напряжения-деформации материала.

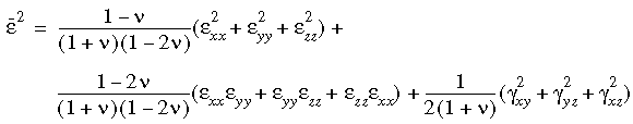
Вектор суммарной деформации ε используется для расчета эффективной деформации ε(бар) с целью получения секущего модуля из определенной пользователем диаграммы (напряжения-деформации) материала. Для трехмерной диаграммы:

8.gif

Диаграмма напряжения-деформации из третьего (сжатия) к первому (растяжения) квадранту применяются к данной модели, для двух- и трехмерных элементов с некоторыми модификациями. Для получения секущего и тангенциального модулей материала, используется метод интерполяции. Определение коэффициента R, являющегося функцией объемной деформации Φ, эффективной деформации и коэффициента Пуассона, R выполняется с помощью следующего выражения:

9.gif

Было установлено, что R = 1 представляет случай неосевого растяжения, а R = -1 относится к случаю сжатия. Данные два случая установлены к верхнему и нижнему пределу, с обеспечением возврата программой значения R к установленному параметру, в случае превышения данных двух пределов. Нелинейная упругая модель материала может использоваться с твердотельными и сетками оболочек.



Оставьте отзыв об этом разделе

SOLIDWORKS благодарит Вас за отзыв по поводу представления, точности и полноты документации. Воспользуйтесь формой ниже, чтобы отправить свои комментарии и предложения о данном разделе справки в Отдел документации. Отдел документации не предоставляет ответы на вопросы по технической поддержке. Нажмите здесь для получения информации о технической поддержке.

* Обязательно

 
*Электронная почта:  
Тема:   Отзывы по поводу разделов Справки
Страница:   Нелинейная упругая модель
*Отзыв:  
*   Я подтверждаю, что прочитал(а) и принимаю положения политики конфиденциальности, в соответствии с которыми Dassault Systèmes будет использовать мои персональные данные.

Печать разделов

Выберите содержимое для печати:

x

Вы используете более раннюю версию браузера, чем Internet Explorer 7. Для оптимизации отображения рекомендуется обновить Ваш браузер до версии Internet Explorer 7 или новее.

 Больше не отображать это сообщение
x

Версия содержимого веб-справки: SOLIDWORKS 2016 SP05

Чтобы отключить веб-справку в программе SOLIDWORKS и использовать локальную версию справки, нажмите Справка > Использовать веб-справку по SOLIDWORKS .

По проблемам, связанным с интерфейсом и поиском по веб-справке, обращайтесь к местному представителю службы поддержки. Чтобы оставить отзыв по отдельным темам справки, воспользуйтесь ссылкой "Отзыв об этом разделе" на странице нужного раздела.