隐藏目录

线性弹性正交各向异性模型

与同向性材料相比,正交各向异性材料具有互相垂直的首选强度方向。沿这些方向(也称为主要方向)的属性是弹性系数的极限值。

正交各向异性材料的 [D] 矩阵有九个独立的弹性属性。此外,热扩张还有三个属性。

二维正交各向异性应力-应变关系

在二维中,正交各向异性应力-应变关系可以写作如下,其中包括温度效应:

请注意,为了满足弹性模量矩阵中的对称性,νxy Ey = νyx Ex

当输入弹性模量或泊松比的数值时,需要满足上述对称条件。

此外,如果您不输入抗剪模量的数值,该程序将按如下所示计算:

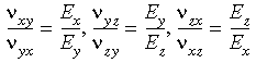
在三维中,正交各向异性对称条件规定:

当输入三维中的正交各向异性材料属性时,必须因此确保不违反上述对称条件。

请注意,如果您不输入抗剪模量的数值,程序将使用如下所示的关系计算:

如果 Ex = Ey = Ez,即使已明确定义,该程序仍会内部计算抗剪模量。如果未明确定义,该程序会假定泊松比为 0.0。



提供对该主题的反馈

SOLIDWORKS 欢迎您对此文档的外观、准确性及完整性提供反馈。请使用以下表格,将您对该主题的评论和建议直接发送给我们的文档团队。文档团队不能回答技术支持问题。单击此处获取有关技术支持的信息

* 必填

 
*电子邮件:  
主题:   对帮助主题的反馈
页面:   线性弹性正交各向异性模型
*评论:  
*   本人确认已阅读并且接受 Dassault Systèmes 按照《隐私政策》使用本人的个人数据

打印主题

选择要打印的内容范围:

x

我们检测到您在使用旧于 Internet Explorer 7 的浏览器版本。为优化显示,我们建议您将您的浏览器升级到 Internet Explorer 7 或以上。

 永不再显示此信息
x

Web 帮助内容版本:SOLIDWORKS 2017 SP05

要从 SOLIDWORKS 中禁用 Web 帮助并使用本地帮助,请单击帮助 > 使用 SOLIDWORKS Web 帮助

要报告在 Web 帮助界面和搜索中所遇到的问题,请联系您的当地支持代表。要提供单个帮助主题的反馈,请使用单个主题页面上的“对该主题的反馈”链接。