隐藏目录

非线性弹性模型

非线性材料模型的典型应力-应变曲线为:

fig_1.gif

对于应力历史与比例负载相关的特定情况,其中应力张量零部件按彼此之间的恒定比单调变化,应变可以通过以下形式按应力的最终状态表示:

7.gif

Ds 是正割材料矩阵,Es 是正割模量,ν 是泊松比率。

要合并此模型,应定义泊松比和应力-应变曲线。

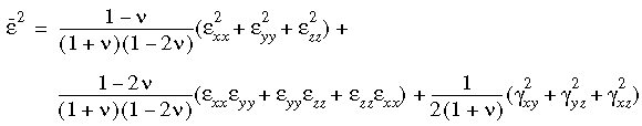
总应变向量 ε 用来计算有效应变 ε(bar),以得到用户定义的材料(应力-应变)曲线的正割模量。 对于三维情况:

8.gif

从第三(压缩)到第一(张力)象限的应力-应变曲线适用于具有某些修改的二维和三维单元的这种模型。 使用插值法得到正割和正切材料模量。 定义比率 R,它是体积应变 Φ、有效应变和泊松比的函数,R 具有以下表达式:

9.gif

注意到 R = 1 代表单轴张力情况,R = -1 则代表压缩情况。这两种情况设定为上界和下界,这样,当 R 超过这两个数值时,程序将它推回到极限值。非线性弹性材料模型可以用于实体和外壳网格。



提供对该主题的反馈

SOLIDWORKS 欢迎您对此文档的外观、准确性及完整性提供反馈。请使用以下表格,将您对该主题的评论和建议直接发送给我们的文档团队。文档团队不能回答技术支持问题。单击此处获取有关技术支持的信息

* 必填

 
*电子邮件:  
主题:   对帮助主题的反馈
页面:   非线性弹性模型
*评论:  
*   本人确认已阅读并且接受 Dassault Systèmes 按照《隐私政策》使用本人的个人数据

打印主题

选择要打印的内容范围:

x

我们检测到您在使用旧于 Internet Explorer 7 的浏览器版本。为优化显示,我们建议您将您的浏览器升级到 Internet Explorer 7 或以上。

 永不再显示此信息
x

Web 帮助内容版本:SOLIDWORKS 2017 SP05

要从 SOLIDWORKS 中禁用 Web 帮助并使用本地帮助,请单击帮助 > 使用 SOLIDWORKS Web 帮助

要报告在 Web 帮助界面和搜索中所遇到的问题,请联系您的当地支持代表。要提供单个帮助主题的反馈,请使用单个主题页面上的“对该主题的反馈”链接。