隐藏目录

塑性 Tresca 模型

此准则基于以下假设,即在屈服状态下,介质所有点处的最大抗剪应力相同,并且等于从给定材料的单轴张力试验所得出的屈服应力的一半。

在三维情况下,只要满足一个不等式,就会出现屈服:

换句话说,屈服基于最大抗剪应力,它等于最大和最小主要应力之差的一半。根据这一准则,中间主要应力不会影响屈服状态。

在部分设计规范和参考中,Tresca 对等应力定义为等于 (σ1 – σ3) 的最大抗剪应力的两倍,其他的则定义为应力强度。

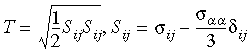
抗剪应力强度

抗剪应力强度由应力偏量的第二不变量的平方根来定义,可以表示为:

纯抗剪状态

纯抗剪状态定义为:

对于这种状态,抗剪应力强度和最大抗剪应力等量:

使用 Tresca 条件,得到的屈服点处的抗剪应力为张力屈服应力的一半:

根据 von Mises 屈服准则,抗剪屈服应力等于:

  • 同向性和运动性硬化规则均可用于 Tresca 模型 。当偏量空间中的屈服曲面的半径和中心可以相对于载荷历史而变化时,将实施同向性和运动性硬化的线性组合。
  • 硬化因子定义运动性硬化和同向性硬化的比例。
  • 对于纯同向性硬化,硬化因子的值为 0。屈服曲面的半径扩展,但其中心让固定在偏量空间中。
  • 对于纯运动性硬化,硬化因子的值为 1。屈服曲面的半径保持不变,但其中心可在偏量空间中移动。


提供对该主题的反馈

SOLIDWORKS 欢迎您对此文档的外观、准确性及完整性提供反馈。请使用以下表格,将您对该主题的评论和建议直接发送给我们的文档团队。文档团队不能回答技术支持问题。单击此处获取有关技术支持的信息

* 必填

 
*电子邮件:  
主题:   对帮助主题的反馈
页面:   塑性 Tresca 模型
*评论:  
*   本人确认已阅读并且接受 Dassault Systèmes 按照《隐私政策》使用本人的个人数据

打印主题

选择要打印的内容范围:

x

我们检测到您在使用旧于 Internet Explorer 7 的浏览器版本。为优化显示,我们建议您将您的浏览器升级到 Internet Explorer 7 或以上。

 永不再显示此信息
x

Web 帮助内容版本:SOLIDWORKS 2017 SP05

要从 SOLIDWORKS 中禁用 Web 帮助并使用本地帮助,请单击帮助 > 使用 SOLIDWORKS Web 帮助

要报告在 Web 帮助界面和搜索中所遇到的问题,请联系您的当地支持代表。要提供单个帮助主题的反馈,请使用单个主题页面上的“对该主题的反馈”链接。