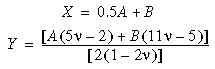
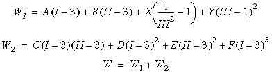
Mooney-Rivlin 应变能密度函数表示为:
其中 I、II 和 III 是右 Cauchy-Green 变形张量的不变量,可以根据主要伸展比率表示;A、B、C、D、E 和 F 是 Mooney 材料常量,并且

必须注意到,当材料接近不可压缩时,第三不变量 III 会接近 1,而 Y 则接近无穷大。因此,如果泊松比率的数值接近 0.5,W1 中的最后一项仍然有界,可以得到解。
Mooney-Rivlin 材料模型可以用于实体单元和厚壳体。在材料对话框中输入 Mooney-Rivlin 模型的材料属性。最多可以输入六个 Mooney-Rivlin 常量:Mooney_A、Mooney_B、Mooney_C、Mooney_D、Mooney_E 和 Mooney_F。
当在材料对话框中选择了使用曲线数据来计算材料常量选项时,将自动计算 Mooney-Rivin 常量。这些常量保存在算例激活结果文件夹下的一个扩展名为 .log 的文本文件中。