線性彈力同向模型

若材料的屬性不會因方向而改變,即可稱之為等向性材料。

等向性材料於所有方向上的彈性模數、Poisson 比、熱膨脹係數及熱傳導率等一概相同。 等溫一詞有時也用來指稱熱膨脹係數無特定方向性的材料。

要定義等向彈力屬性,則必須定義彈性模數 E。如果您未指定任何特定值,程式會假設 Poisson 比 v 的值為 0.0。 常用的 Poisson 比值是 0.3。

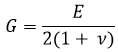
程式會從公式中內部計算剪力模數 G:

針對線性彈力銅像材質,您不必為剪力模數輸入值。 如果您為剪力模數輸入值,程式會予以忽略,並從上述公式計算剪力模數。

等向性材料的勁度矩陣僅含有兩個獨立的係數。下節說明在包含熱應變效應的二維及三維空間中的等向性應力-應變關係。

包含熱效應的等向性應力-應變關係最常見的形式如下圖所示: