相對於等向性材料,正交性材料係於相互垂直的特定方向具有強度。於該等方向 (亦即所謂的主方向) 上的屬性是為彈性係數的極限值。
正交性材料的 [D] 矩陣具有九項獨立的彈性屬性。此外並具有三項熱膨脹屬性。
2D 正交應力-應變關係
在二維空間中,包含溫度效應的正交應力-應變關係可如下式表示:

請注意,為滿足彈性模數矩陣的對稱性,必須 νxy Ey = νyx Ex。
當您輸入彈性模數或 Poisson 比的數值時,需滿足上述的對稱條件。
再者,如果您未輸入剪力模數的數值,程式將以下列公式計算其值:

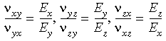
在三維空間中,正交性對稱條件定為:
因此當您在三維空間中輸入正交性材料屬性時,必須確定不會違背上述的對稱條件。
如果您針對剪力模數 (Gxy、Gyz 與 Gxz) 輸入數值,程式將會使用這些使用者定義的值 (即使其不相容於正交對稱條件)。
請注意,如果您未輸入剪力模數的數值,則程式將使用下列公式的關係計算其值:
如果 Ex = Ey = Ez,即使已在內部明確定義剪力模數,程式仍會計算出該值。
如未明確定義 Poisson 比,程式會假設其值為 0.0。