Modelo isotrópico elástico lineal

Un material se considera isotrópico si sus propiedades no varían con la dirección.

Los materiales isotrópicos tienen un módulo elástico, un coeficiente de Poisson, una conductividad térmica, un coeficiente de expansión térmica, etc. idénticos en todas las direcciones. El término isotérmico algunas veces se utiliza para indicar materiales sin direcciones preferidas para coeficientes de expansión térmica.

Para definir las propiedades elásticas isotrópicas, es necesario definir el módulo elástico E. El programa supone un valor de 0,0 para el coeficiente de Poisson v si no se especifica un valor concreto. Un valor común para el coeficiente de Poisson es 0,3.

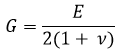
El programa calcula de forma interna el módulo de corte G a partir de la siguiente fórmula:

No es necesario introducir ningún valor para un módulo de corte si se trata de un material isotrópico elástico lineal. Si introduce un valor para el módulo de corte, el programa lo ignorará y calculará el módulo de corte a partir de la fórmula anterior.

La matriz de rigidez de un material isotrópico contiene sólo dos coeficientes independientes. Las siguientes secciones describen las relaciones isotrópicas de tensión-deformación unitaria en dos y tres dimensiones, incluyendo el efecto de las deformaciones unitarias térmicas.

La forma más general de las relaciones isotrópicas de tensión-deformación unitaria, incluyendo los efectos térmicos, se muestra a continuación: