Este criterio se basa en la suposición de que, en estado de flexibilidad, la tensión de cortadura máxima en todos los puntos de un medio es la misma y equivale a la mitad del límite elástico obtenido de una prueba de tensión uniaxial para el material.
En el caso tridimensional, el límite elástico se produce si como mínimo una de las desigualdades queda satisfecha:

En otras palabras, la flexibilidad se basa en la tensión de cortadura, que es igual a la mitad de la diferencia entre las tensiones principales máxima y mínima. Por lo tanto, basándose en este criterio, la tensión principal intermedia no afecta el estado de flexibilidad.
En algunas referencias y códigos de diseño, la tensión equivalente de Tresca se define como el doble de la tensión de cortadura máxima que sea igual a (σ1 – σ3) o la intensidad de la tensión.
Intensidad de tensión de cortadura
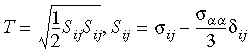
La intensidad de tensión de cortadura se define mediante la raíz cuadrada de la segunda constante del desviador de tensión y se expresa de la siguiente manera:
Estado de cortadura
El estado de cortadura se define como:
Para este estado, la intensidad de tensión de cortadura y la tensión de cortadura máxima son equivalentes:
Al utilizar las condiciones de Tresca, la tensión de cortadura en el punto de flexibilidad equivale a la mitad del límite elástico de tracción:
Según el criterio de flexibilidad de von Mises, el límite elástico cortante equivale a:
- Hay reglas de endurecimiento isotrópico y cinemático disponibles para el modelo de Tresca. Se implementa una combinación lineal de endurecimiento isotrópico y cinemático cuando tanto el radio como el centro de la superficie elástica en espacio desviatorio pueden variar con respecto al historial de carga.
-
Factor de endurecimiento define la proporción de endurecimiento cinemático e isotrópico.
- Para endurecimiento isotrópico, Factor de endurecimiento tiene el valor 0. El radio de la superficie elástica se expande pero su centro permanece fijo en espacio desviatorio.
- Para endurecimiento cinemático, Factor de endurecimiento tiene el valor 1. El radio de la superficie elástica permanece constante mientras su centro se mueve en espacio desviatorio.