Procedimento de análise - Harmônica

A análise harmônica avalia a resposta de pico em estado estável de um sistema a cargas harmônicas.

Em cada etapa de solução, todas as cargas aplicadas e excitações de base têm a mesma frequência. As magnitudes são definidas pelas curvas de frequência associadas.

Consideremos um vetor de força harmônica nodal {P} definido como:

(Equação 1) ou (Equação 2),

onde:

Pké a magnitude da força na direção do ko grau de liberdade

w é a frequência de excitação e

Yk é o ângulo de fase da força.

Para sistemas lineares, as equações de movimento do sistema são separadas em n equações modais:

(Equação 3).

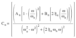
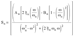
Substituir o vetor de força {P} na (Equação 3) resulta em:

(Equação 4), onde

(Equação 5)

A solução em estado estável da (Equação 4) é:

(Equação 6).

A parte real da (Equação 6) é:

(Equação 7), onde

(Equação 8) e

(Equação 9).

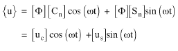
O vetor de deslocamento u é obtido por:

(Equação 10) ou

(Equação 11)

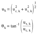
A magnitude do deslocamento uk e o ângulo de fase correspondente θk para o ko grau de liberdade são:

(Equação 12)

As respostas de velocidade e aceleração são deduzidas derivando a (Equação 11). As amplitudes são:

(Equação 13)

Os ângulos de fase de velocidades e acelerações são de 90º e 180º no que diz respeito aos ângulos de fase de deslocamento.