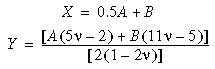
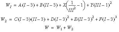
A função de densidade de energia de deformação de Mooney-Rivlin é expressa como:
onde I, II e III são constantes do tensor à direita de distorção Cauchy-Green Cauchy-Green e pode ser expresso em termos das razões de alongamento principais; A, B, C, D, E e F são constantes de Mooney do material, e

Deve ser notado que quando o material se aproxima da incompressibilidade, a terceira constante, III, se aproxima da unidade, ao passo que Y tende ao infinito. Assim, para valores do coeficiente de Poisson próximos a 0,5, o último termo em w1 permanece restrito, podendo-se, então, obter uma solução.
O modelo de material de Mooney-Rivlin pode ser usado com elementos sólidos e cascas espessas. As propriedades de material para o modelo de Mooney-Rivlin são dados de entrada para a caixa de diálogo Material. Até seis constantes Mooney-Rivlin podem ser inseridas: Mooney_A, Mooney_B, Mooney_C, Mooney_D, Mooney_E, and Mooney_F.
As constantes do modelo Mooney-Rivin são calculadas automaticamente quando a opção Usar dados da curva para calcular constantes do material na caixa de diálogo Material está marcada. As constantes são salvas em um arquivo de texto com a extensão .log na pasta de resultados ativa para o estudo.