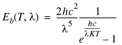
プランク分布(Planck Distribution) プランクの法則は、黒体による放射強度を波長(または周波数)の関数として与えます。 ここで: h = プランク定数 = 6.6262 X 10 - 34 ジュール秒 c = 真空内の光の速度 λ = 放出された輻射の波長 K = ボルツマン定数 T = 絶対温度 親トピックふく射 輻射の基本定義 ステファン ボルツマンの法則 実表面からの輻射放出 表面の放射熱交換(面-面輻射)(Radiation Exchange Between Surfaces (Surface to Surface Radiation)) シェルサーフェスからの輻射(Radiation from Shell Surfaces) 輻射形態係数