表面の放射熱交換(面-面輻射)(Radiation Exchange Between Surfaces (Surface to Surface Radiation))

前のセクションで説明した灰色体とその周囲の媒体間の輻射によるエネルギー交換率に関する方程式は、輻射している物体は囲んでいる大きい黒体しか見ることができない(周囲の媒体を代表している)と仮定していました。 そのため、輻射している小さい物体が放出する全エネルギーは周囲の媒体に吸収されると仮定されています。

輻射している 2 つの物体が部分的に輻射エネルギーを交換している状況においては、輻射形態係数 (F) を導入する必要があります。

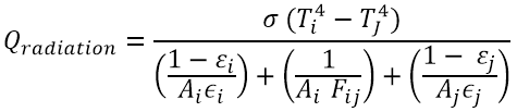
表面 j に対する表面 I の輻射形態係数は、表面 I を離れた総エネルギーに対する表面 I から輻射されたエネルギーと表面 j に直接届いたエネルギーの割合として定義されます。この定義を念頭に置いて、表面の領域 AI とその温度 TI および表面の領域 Aj とその温度 Tj の正味輻射熱交換率は次の式で与えられます。

ここで、

Fij は、表面 j に対する表面 i の形態係数です。

i は、表面 i の輻射率です

σ はステファン ボルツマン定数です。

2 つの表面で輻射率 εi および εj の値が異なる場合、それらの表面間の正味輻射熱交換率は次の式によって求められます。