SOLIDWORKS Simulation, pim bağlantı elemanını dahili olarak, belirtilmiş eksenel veya rotasyonel sertliğe sahip bir kiriş olarak yansıtır. Kirişin her bir uç düğümü, bağlı silindirik yüzün (veya kabuk kenarının) merkez noktasında yer alır.
Sert çubuk elemanları, sert bir bağlantı tipi için kiriş uç düğümlerini silindirik yüz düğümlerine bağlar. Pime bağlı tüm yüzler yükleme altında eş eksenli kalır ve orijinal şekillerini korur. Bu silindirik yüzler, pim bağlantı elemanının eksenel ve rotasyonel sertliğine bağlı olarak birbirlerine göre sert gövdeler olarak hareket edebilir. Sert bölgelerin eklenmesi nedeniyle, pim bağlantı elemanının yakınında gerilim sıcak noktası alanları görebilirsiniz. Mesafe arttıkça gerilim sıcak noktaları kademeli olarak azalır ve sonunda silindirik yüzlerden yaklaşık bir çap uzaktaki bölgelerde kaybolur.
Yalnızca doğrusal statik etütlerde pim bağlantı elemanları için dağıtılmış bağlantı formülü seçebilirsiniz. Bağlantının dağıtılması, iliştirilmiş silindirik yüzlerin düğümlerinin (bağlantı düğümlerinin) hareketini, kiriş uç düğümünün (referans düğümü) ortalama bir seviyede sürüklenmesi ve rotasyonu ile sınırlar. Dağıtılmış bir bağlantı, bir silindirik yüzün bağlantı düğümlerinin birbiriyle ilişkili olarak hareket etmesini sağlar. Dağıtılmış bağlantı tipi, pim bağlantı elemanlarının yakınında daha gerçekçi gerilim ve yer değiştirme alanları yaratır.
Bir pimin eksenel sertliği, bir pime bağlı silindirik yüzler (veya dairesel kenarlar) arasındaki göreceli eksenel hareketi tanımlar. Bir pimin rotasyonel sertliği, silindirik yüzler (veya dairesel kenarlar) arasındaki göreceli rotasyonel hareketi tanımlar. İkiden fazla silindirik yüz veya kenarı bağlayan bir pim söz konusu olduğunda yazılım, her bir pim segmentinin geometrik özelliklerine göre (kesit alanı, polar atalet momenti ve uzunluk gibi) eksenel ve rotasyonel sertlikleri yeniden dağıtır. Pim segmenti, iki ardışık silindirik yüzü bağlar ve segmentin iki uç eklemi bulunur. Her pim eklemi, bağlı silindirik yüzün veya dairesel kenarın merkez noktasında yer alır.
Pim Bağlantı Elemanı Kuvvetleri Listesi
Çözümleyici, her bir pim segmentinin iki uç eklemindeki bağlantı elemanı kuvvetlerini hesaplar.
Örneğin, aşağıda gösterilen şekilde menteşeli bir levhanın dört silindirini bağlayan tek bir pim tanımlaması için çözümleyici, dört pim eklemindeki pim kuvvetini hesaplar ve listeler. Her bir pim eklemi, pime bağlanan silindirik yüzlerin merkezinde yer alır.
Yazılım, pimin yerel koordinat sistemine göre bağlantı elemanı eklemi başına dört kuvveti listeler. Bir eklemde hesaplanan kuvvetlerle bir pimin kesit görüntüsü gösterilir.
-
FA = pim kesiti genelindeki eksenel kuvvet
Pozitif eksenel kuvvet pim kesitinin gerilme altında olduğunu, negatif eksenel kuvvet ise sıkıştırmayı belirtir. Yazılım, pim eklemlerinde pim bağlantı elemanı yükleri olarak bir pim kesitinde etkili olan yükleri raporlar. Eklemlerdeki bağlantı elemanı yükleri listelenirken pim kesitine ilişkin yüklerin dengesi dikkate alınmaz.
- FV = pim kesiti genelindeki yırtılma kuvveti
- Mb = bükülme momenti
- T = Tork
Ardışık pim kesitlerinde ortak olan pim eklemlerinde (örneğin, aşağıdaki şekildeki 2. eklem) çözümleyici, ortak eklemin sol ve sağ tarafı için iki bağlantı elemanı kuvveti kümesi hesaplar. Resimde, üç silindirik yüze iliştirilmiş iki pim kesitine (mavi renkli) sahip bir pim bağlantı elemanı kesiti gösterilmektedir.
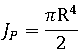
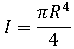
Bir pim bağlantı elemanının yarıçapı (R), pime iliştirilen silindirik yüzün veya dairesel kenarın yarıçapıdır. Tek pim bağlantı elemanı tanımının pim kesitleri farklı yarıçaplara sahip olabilir.
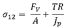
Çözümleyici, ortak eklemin sol ve sağ tarafı için von Mises gerilimlerini hesaplar. Yazılım, von Mises gerilimlerini karşılaştırır ve en yüksek von Mises gerilimini veren pim kuvvetleri kümesini (sol veya sağ taraftan) listeler.
Bir genel düzlem gerilimi örneği için von Mises gerilimi şunlara göre verilir:

,
,
, 
Bir pim bağlantı elemanının geçer/geçmez güvenlik denetimi için yazılım, pimin güvenlik faktörünü değerlendirmek amacıyla von Mises gerilim kriterine göre maksimum birleşik yüklere sahip pim eklemini seçer. Ayrıca bkz. SOLIDWORKS Simulation Yardımı: Pim Bağlantı Elemanı - Güvenlik Denetimi