Rayleigh Sönümleme

n x n simetrik sönümleme matrisi [C]; kütle [M] ve sertlik [K] matrislerinin bir doğrusal kombinasyonu olarak formüle edilir:

(Denklem 1)

  • Alfa Katsayısı: Kütle orantılı katsayı α'yı ayarlar.
  • Beta Katsayısı: Sertlik orantılı katsayı β'yı ayarlar.

(Denklem 1) tarafından tanımlanan sönümleme tipine, Rayleigh veya orantılı sönümleme denir.

Bu [C] formu, sistem özvektörlerine ortogonaldir.

Modal koordinat dönüşümü uygulandığında modal sönümleme matrisi [c] diyagonal olur:

(Denklem 2)

Rayleigh sönümlemeyi, doğrusal ve doğrusal olmayan dinamik etütler için tanımlayabilirsiniz.

Rayleigh Katsayıları ile Modal Sönümleme Oranının İlişkisi

Model sönümleme matrisi [c] şu şekilde belirlenir:

(Denklem 3)

ith modu için visköz sönümleme katsayısı ci şu şekilde hesaplanır:

(Denklem 4)

ve visköz sönümleme oranı ζi şu şekilde ifade edilir:

(Denklem 5)

ith ve jth modlarının sönümleme oranları ζi ve ζj ise, Rayleigh katsayıları α ve β iki cebirsel denklemin çözümünden hesaplanır:

(Denklem 6)

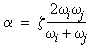
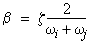
Her iki mod da aynı sönümleme oranına sahipse ( ζi = ζj = ζ), α ve β değerleri şu şekilde belirlenir:

(Denklem 7) (Denklem 8)

Diğer herhangi bir modun visköz sönümleme oranı ζ, şekilde görüldüğü gibi frekans ile değişir: