Scambio per irraggiamento tra superfici (irraggiamento superficie/superficie)

L'equazione menzionata nella sezione precedente relativamente alla velocità dello scambio di energia per irraggiamento tra un corpo grigio e il mezzo circostante presuppone che il corpo radiante possa vedere solo il grande corpo nero d'inviluppo (che rappresenta il mezzo circostante). Quindi, tutta l'energia emessa dal piccolo corpo radiante si presume che venga assorbita dal mezzo circostante.

Nelle situazioni in cui i due corpi radianti si scambiano energia di irraggiamento in modo parziale, si deve tenere conto del fattore di visualizzazione dell'irraggiamento (F).

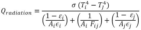
Il fattore della vista di irraggiamento della superficie I rispetto ad una superficie j viene definito come il rapporto di energia irradiata dalla faccia I e direttamente sulla superficie j fino all'energia totale che abbandona la superficie I. Con questa definizione in mente, lo scambio netto di calore di irraggiamento tra la superficie di un'area AI e la temperatura TI e una superficie Aj e una temperatura Tj è data da:

dove:

Fij è il fattore di vista della superficie i rispetto alla superficie j

εi è l'emissività della superficie i

σ è la costante di Stefan-Boltzmann.

Quando le due superfici hanno valori diversi di emissività εi e εj, lo scambio netto di calore di irraggiamento tra le superfici è dato da: