Newtonův zákon ochlazování říká, že míra převodu tepla opouštějícího povrch o teplotě Ts do okolní kapaliny o teplotě Tf je dána rovnicí:
Qkonvekce = h A (Ts - Tf)
kde součinitel převodu tepla má jednotky W/m2.K nebo Btu/s.in2.F. Součinitel h není termodynamická vlastnost. Je to zjednodušená korelace s kapalným stavem a podmínkami proudění, a proto se často nazývá vlastnost proudění.
Konvekce je spojena s koncepcí hraniční vrstvy, což je tenká vrstva přechodu mezi povrchem, o kterém se předpokládá, že sousedí s nepohyblivými molekulami, a prouděním okolní kapaliny. Tato situace je vidět na následujícím obrázku proudění nad plochou deskou.

Kde u(x,y) je rychlost ve směru x. Oblast po vnější hranici vrstvy kapaliny definovaná jako 99 % rychlosti volného proudění se nazývá tloušťka hraniční vrstvy kapaliny δ(x).
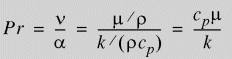
Podobně by bylo možné vytvořit obrázek přechodu teploty z teploty povrchu na teplotu okolí. Na následujícím obrázku je schéma s různými teplotami. Všimněte si, že tloušťka hraniční vrstvy teploty není stejná jako tloušťka vrstvy kapaliny. Vlastnosti kapaliny tvořící Prandtlovo číslo řídí relativní velikost dvou typů hraničních vrstev. Prandtlovo číslo (Pr) o velikosti 1 by znamenalo stejné chování pro obě hraniční vrstvy.

Převod tepla hraniční vrstvou vede teplo ve směru y přes nepohyblivou kapalinu vedle stěny a je roven míře konvekce z hraniční vrstvy do kapaliny. Tento jev je možné napsat následujícím způsobem:
h A (Ts - Tf) = - k A (dT/dy)s
Součinitel konvekce pro danou situaci lze zjistit změřením převodu tepla a rozdílu teplot nebo změřením teplotního gradientu u povrchu a rozdílu teplot.
Měření teplotního gradientu v hraniční vrstvě vyžaduje vysokou přesnost a obvykle se provádí ve výzkumné laboratoři. Mnoho příruček obsahuje tabulky součinitelů konvekce převodu tepla pro různé konfigurace.
V následující tabulce jsou některé typické hodnoty součinitele konvekce převodu tepla:
| Střední |
Součinitel převodu tepla h (W/m2.K) |
| Vzduch (přirozená konvekce)
|
5-25
|
| Vzduch/přehřátá pára (nucená konvekce)
|
20-300
|
| Olej (nucená konvekce)
|
60-1800
|
| Voda (nucená konvekce)
|
300-6000
|
| Voda (vařící)
|
3000-60,000
|
| Pára (kondenzující)
|
6000-120,000
|