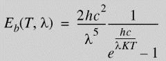
Planckův zákon určuje intenzitu vyzářenou černým tělesem jako funkci vlnové délky (nebo frekvence).

kde:
h = Planckova konstanta = 6,6262X10-34 joul.sek
c = rychlost světla ve vakuu
λ = vlnová délka vyzářeného záření
K = Boltzmannova konstanta
T = absolutní teplota